Son güncelleme :
27/01/2026
kanser ilaç   Cabazitaxel  
Enjeksiyon
Çözeltilerin stabilitesi Karışımlardaki stabilitesi Stabiliteyi etkileyen faktörler Uyumluluk Uygulama yöntemi Kaynaklar pdf
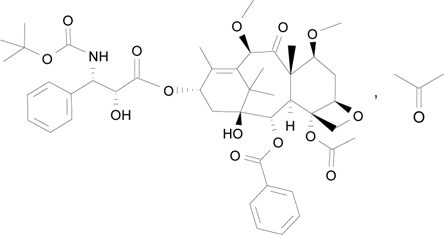
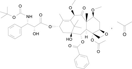
   Kimyasal yapı   

Ticari isim   Ticari isim     

Trade names are indicative and excipients composition can be different depending on the country and manufacturers

Cabazil Arjantin
Cabazitaxel Almanya, Danimarka, Finlandiya, İspanya
Cecalter Arjantin
Jevtana Almanya, Amerika Birleşik Devletleri, Arjantin, Avustralya, Belçika, Brezilya, Büyük Britanya, Danimarka, Ekvador, Finlandiya, Fransa, İspanya, İsviçre, İtalya, İzlanda, Kanada, Kolombiya, Malezya, Meksika, Norveç, Peru, Romanya, Şili, Slovenya, Türkiye
Proazitax Brezilya
Xatiza Şili
Zitat Arjantin
Çözeltilerin stabilitesi   Enjeksiyon    Çözeltilerin stabilitesi : Cabazitaxel     
Saklama kabı Çözücü Konsantrasyon Isı Saklama    Stabilite süresi Kaynaklar
Cam Yok 10 mg/ml 4°C Işıktan koruyunuz
28 Gün
3804
Kanıt düzeyi A

Cam çözücü Özgül 10 mg/ml -20°C Belirtilmemiş
49 Gün
4800
Kanıt düzeyi A

kısmen kullanılmış flakonlar Yok 20 mg/ml 25°C Işıktan koruyunuz
28 Gün
4761
Kanıt düzeyi A

Polietilen Sodyum klorür % 0,9 0,1 >>0,26 mg/ml 25°C Işıktan koruyunuz
28 Gün
4761
Kanıt düzeyi A

Polietilen Glukoz %5 0,1 >>0,26 mg/ml 25°C Işıktan koruyunuz
28 Gün
4761
Kanıt düzeyi A

Polipropilen Sodyum klorür % 0,9 0,1 >>0,26 mg/ml 2-8°C Işıktan koruyunuz
28 Gün
4761
Kanıt düzeyi A

Polipropilen Glukoz %5 0,1 >>0,26 mg/ml 2-8°C Işıktan koruyunuz
28 Gün
4761
Kanıt düzeyi A

Poliolefin Sodyum klorür % 0,9 0,1 mg/ml -20°C Belirtilmemiş
49 Gün
4800
Kanıt düzeyi A

Poliolefin Sodyum klorür % 0,9 0,1 mg/ml 25°C Belirtilmemiş
21 Gün
4800
Kanıt düzeyi A

Poliolefin Sodyum klorür % 0,9 0,1 mg/ml 4°C Belirtilmemiş
21 Gün
4800
Kanıt düzeyi A

Poliolefin Sodyum klorür % 0,9 0,1 >>0,26 mg/ml 25°C Işıktan koruyunuz
28 Gün
4761
Kanıt düzeyi A

Poliolefin Sodyum klorür % 0,9 0,10 >> 0,26 mg/ml 2-8°C Belirtilmemiş
48 Zaman
3237
Üreticinin stabilite verileri

Poliolefin Sodyum klorür % 0,9 0,10 >> 0,26 mg/ml 25°C Belirtilmemiş
8 Zaman
3237
Üreticinin stabilite verileri

Poliolefin Sodyum klorür % 0,9 0,15 mg/ml 25°C Işıktan koruyunuz
28 Gün
3804
Kanıt düzeyi A

Poliolefin Sodyum klorür % 0,9 0,15 mg/ml 4°C Işıktan koruyunuz
28 Gün
3804
Kanıt düzeyi A

Poliolefin Sodyum klorür % 0,9 0,26 mg/ml -20°C Belirtilmemiş
49 Gün
4800
Kanıt düzeyi A

Poliolefin Sodyum klorür % 0,9 0,26 mg/ml 25°C Belirtilmemiş
21 Gün
4800
Kanıt düzeyi A

Poliolefin Sodyum klorür % 0,9 0,26 mg/ml 4°C Belirtilmemiş
21 Gün
4800
Kanıt düzeyi A

Poliolefin Glukoz %5 0,1 mg/ml -20°C Belirtilmemiş
49 Gün
4800
Kanıt düzeyi A

Poliolefin Glukoz %5 0,1 mg/ml 25°C Belirtilmemiş
21 Gün
4800
Kanıt düzeyi A

Poliolefin Glukoz %5 0,1 mg/ml 4°C Belirtilmemiş
21 Gün
4800
Kanıt düzeyi A

Poliolefin Glukoz %5 0,1 >>0,26 mg/ml 25°C Işıktan koruyunuz
28 Gün
4761
Kanıt düzeyi A

Poliolefin Glukoz %5 0,10 >> 0,26 mg/ml 2-8°C Belirtilmemiş
48 Zaman
3237
Üreticinin stabilite verileri

Poliolefin Glukoz %5 0,10 >> 0,26 mg/ml 25°C Belirtilmemiş
8 Zaman
3237
Üreticinin stabilite verileri

Poliolefin Glukoz %5 0,26 mg/ml -20°C Belirtilmemiş
49 Gün
4800
Kanıt düzeyi A

Poliolefin Glukoz %5 0,26 mg/ml 25°C Belirtilmemiş
21 Gün
4800
Kanıt düzeyi A

Poliolefin Glukoz %5 0,26 mg/ml 4°C Belirtilmemiş
21 Gün
4800
Kanıt düzeyi A


  Mentions Légales