Останнє оновлення :
27/01/2026
Протипухлинний препарат   Cabazitaxel  
ін'єкція
Стійкість в розчинах Стійкість сумішей Фактори, що впливають на стабільність Сумісність Шлях введення Список літератури pdf
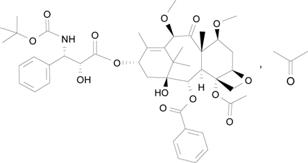
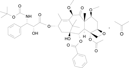
   Хімічна структура  

Торгова назва   Торгова назва     

Торгові назви є орієнтовними, а склад допоміжних речовин може бути різним залежно від країни та виробника

Cabazil Аргентина
Cabazitaxel Іспанія, Данія, Німеччина, Фінляндія
Cecalter Аргентина
Jevtana Ісландія, Іспанія, Італія, Австралія, Аргентина, Бельгія, Бразилія, Великобританія, Данія, Еквадор, Канада, Колумбія, Малайзія, Мексика, Німеччина, Норвегія, Перу, Румунія, Словенія, Сполучені Штати Америки, Туреччина, Фінляндія, Франція, Чилі, Швейцарія
Proazitax Бразилія
Xatiza Чилі
Zitat Аргентина
Стійкість в розчинах   ін'єкція   Стійкість в розчинах : Cabazitaxel     
Контейнер Розчинник Концентрація температура Зберігання Тривалість стабільності Список літератури
скло Жодного 10 mg/ml 4°C Берегти від світла
28 День
3804
Рівень доказовості А

скло специфічний розчинник 10 mg/ml -20°C Не визначено
49 День
4800
Рівень доказовості А

частково використані флакони Жодного 20 mg/ml 25°C Берегти від світла
28 День
4761
Рівень доказовості А

Поліетилен Натрію хлорид 0,9% 0,1 >>0,26 mg/ml 25°C Берегти від світла
28 День
4761
Рівень доказовості А

Поліетилен Глюкоза 5% 0,1 >>0,26 mg/ml 25°C Берегти від світла
28 День
4761
Рівень доказовості А

Поліпропілен Натрію хлорид 0,9% 0,1 >>0,26 mg/ml 2-8°C Берегти від світла
28 День
4761
Рівень доказовості А

Поліпропілен Глюкоза 5% 0,1 >>0,26 mg/ml 2-8°C Берегти від світла
28 День
4761
Рівень доказовості А

Поліолефін Натрію хлорид 0,9% 0,1 mg/ml -20°C Не визначено
49 День
4800
Рівень доказовості А

Поліолефін Натрію хлорид 0,9% 0,1 mg/ml 25°C Не визначено
21 День
4800
Рівень доказовості А

Поліолефін Натрію хлорид 0,9% 0,1 mg/ml 4°C Не визначено
21 День
4800
Рівень доказовості А

Поліолефін Натрію хлорид 0,9% 0,1 >>0,26 mg/ml 25°C Берегти від світла
28 День
4761
Рівень доказовості А

Поліолефін Натрію хлорид 0,9% 0,10 >> 0,26 mg/ml 2-8°C Не визначено
48 годину
3237
Дані виробника про стабільність

Поліолефін Натрію хлорид 0,9% 0,10 >> 0,26 mg/ml 25°C Не визначено
8 годину
3237
Дані виробника про стабільність

Поліолефін Натрію хлорид 0,9% 0,15 mg/ml 25°C Берегти від світла
28 День
3804
Рівень доказовості А

Поліолефін Натрію хлорид 0,9% 0,15 mg/ml 4°C Берегти від світла
28 День
3804
Рівень доказовості А

Поліолефін Натрію хлорид 0,9% 0,26 mg/ml -20°C Не визначено
49 День
4800
Рівень доказовості А

Поліолефін Натрію хлорид 0,9% 0,26 mg/ml 25°C Не визначено
21 День
4800
Рівень доказовості А

Поліолефін Натрію хлорид 0,9% 0,26 mg/ml 4°C Не визначено
21 День
4800
Рівень доказовості А

Поліолефін Глюкоза 5% 0,1 mg/ml -20°C Не визначено
49 День
4800
Рівень доказовості А

Поліолефін Глюкоза 5% 0,1 mg/ml 25°C Не визначено
21 День
4800
Рівень доказовості А

Поліолефін Глюкоза 5% 0,1 mg/ml 4°C Не визначено
21 День
4800
Рівень доказовості А

Поліолефін Глюкоза 5% 0,1 >>0,26 mg/ml 25°C Берегти від світла
28 День
4761
Рівень доказовості А

Поліолефін Глюкоза 5% 0,10 >> 0,26 mg/ml 2-8°C Не визначено
48 годину
3237
Дані виробника про стабільність

Поліолефін Глюкоза 5% 0,10 >> 0,26 mg/ml 25°C Не визначено
8 годину
3237
Дані виробника про стабільність

Поліолефін Глюкоза 5% 0,26 mg/ml -20°C Не визначено
49 День
4800
Рівень доказовості А

Поліолефін Глюкоза 5% 0,26 mg/ml 25°C Не визначено
21 День
4800
Рівень доказовості А

Поліолефін Глюкоза 5% 0,26 mg/ml 4°C Не визначено
21 День
4800
Рівень доказовості А


  Mentions Légales