Останнє оновлення :
27/04/2026
Електроліт   Calcium gluconate  
Мазі
ін'єкція
Стабільність фармацевтичних препаратів Стійкість сумішей Фактори, що впливають на стабільність Сумісність Список літератури pdf
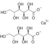
   Хімічна структура  

Мазі
Сумісність   Мазі   Сумісність : Calcium gluconate              
7 / 5 000 Résultats de traduction Немає даних

  Mentions Légales