Posledná aktualizácia :
27/04/2026
elektrolyt   Calcium gluconate  
Dermálny prípravok
Injekcia
Stabilita farmaceutických prípravkov Stabilita v zmesiach Faktory ovplyvňujúce stabilitu Kompatibility Odkazy na literatúru PDF
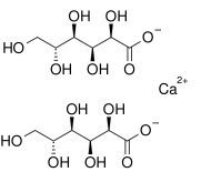
   Chemický vzorec  

Dermálny prípravok
Stabilita farmaceutických prípravkov   Dermálny prípravok   Stabilita farmaceutických prípravkov : Calcium gluconate     
obal Pôvod Pomocná látka teplota uchovávanie Trvanie stability odkazy na lieteratúru
Sklo Prášok 2.5 g
Calcium gluconate
Hydroxyetylcelulóza 3 g
Propylénglykol 5 g
Čistená voda 87 g
25°C nešpecifikované
180 dní
3017


  Mentions Légales