zadnja posodobitev :
27/04/2026
elektrolit   Calcium gluconate  
Mazila
Brizgalka
Stabilnost farmacevtskih preparatov Stabilnost mešanice Faktorji, ki vplivajo na stabilnost Kompatibilnost Viri pdf
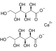
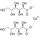
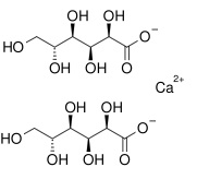
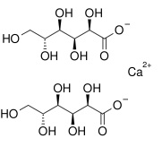
   Kemična formula  

Mazila
Kompatibilnost   Mazila   Kompatibilnost : Calcium gluconate              
ni podatka

  Mentions Légales