Son güncelleme :
27/04/2026
elektrolit   Calcium gluconate  
Merhem
Enjeksiyon
Farmasötik preparatlar Kararlılığı Karışımlardaki stabilitesi Stabiliteyi etkileyen faktörler Uyumluluk Kaynaklar pdf
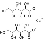
   Kimyasal yapı   

Merhem
Uyumluluk   Merhem   Uyumluluk : Calcium gluconate              
veri yok

  Mentions Légales