Siste oppdatering :
27/04/2026
elektrolytt   Calcium gluconate  
Salver
Injeksjon
Stabilitet av farmasøytiske preparater Stabilitet i blandinger Faktorer som påvirker stabiliteten Kompatibilitet Referanser pdf
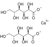
   Kjemisk struktur  

Salver
Kompatibilitet   Salver   Kompatibilitet : Calcium gluconate              
Ingen opplysninger

  Mentions Légales