Ultimo aggiornamento :
27/01/2026
elettrolito   Calcium gluconate  
Unguenti
Iniezione
Stabilità dei preparati farmaceutici Stabilità in miscela Fattori che influenzano la stabilità Compatibilità Bibliografia pdf
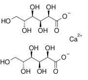
   Struttura chimica  

Unguenti

Fattori che influenzano la stabilità   Unguenti   Fattori che influenzano la stabilità : Calcium gluconate        
Assenza di dati

  Mentions Légales