Ultimo aggiornamento :
27/04/2026
elettrolito   Calcium gluconate  
Unguenti
Iniezione
Stabilità dei preparati farmaceutici Stabilità in miscela Fattori che influenzano la stabilità Compatibilità Bibliografia pdf
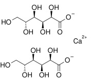
   Struttura chimica  

Unguenti
Compatibilità   Unguenti   Compatibilità : Calcium gluconate              
Assenza di dati

  Mentions Légales