Poslední aktualizace :
27/04/2026
elektrolyt   Calcium gluconate  
Masti
injekce
Stabilita farmaceutických přípravků Stabilita směsí Faktory ovlivňující stabilitu Kompatibilita Odkazy pdf
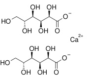
   Chemický vzorec  

Masti
Kompatibilita   Masti   Kompatibilita : Calcium gluconate              
žádná data

  Mentions Légales