Viimeisin päivitys :
27/04/2026
elektrolyytti   Calcium gluconate  
Salvat
Injektioneste
Vakaus lääkevalmisteen Stabilius seoksissa Tekijät, jotka vaikuttavat stabiliuteen Yhteensopivuus Viitteet pdf
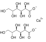
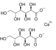
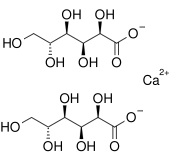
   Kemiallinen rakenne  

Salvat
Yhteensopivuus   Salvat   Yhteensopivuus : Calcium gluconate              
ei tietoa

  Mentions Légales