Ostatnia aktualizacja :
27/04/2026
elektrolit   Calcium gluconate  
Maści
Injekcje
Stabilność preparatów farmaceutycznych Trwałość w mieszaninie Czynnik wpływający na trwałość Zgodność Bibliografia pdf
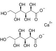
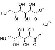
   Struktura chemiczna  

Maści
Zgodność   Maści   Zgodność : Calcium gluconate              
Brak danych

  Mentions Légales