Letztes “update” :
27/04/2026
Elektrolyt   Calcium gluconate  
Salben
Injektion
Stabilität von pharmazeutischen Präparaten Gemengestabilität Stabilitätbeeinflussende Faktoren Kompatibilitäten Literaturverzeichnis pdf
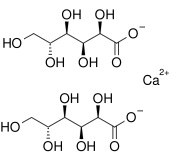
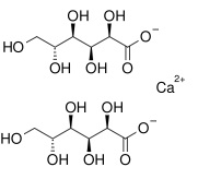
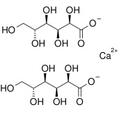
   Chemische Struktur  

Salben
Kompatibilitäten   Salben   Kompatibilitäten : Calcium gluconate              
Keine Daten

  Mentions Légales