Ultimele actualizari :
27/04/2026
electrolit   Calcium gluconate  
Unguente
Injectabil
Stabilitatea preparatelor farmaceutice Stabilitatea in amestec Factorii care influenteaza stabilitatea Compatibilitate Bibliografie pdf
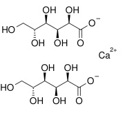
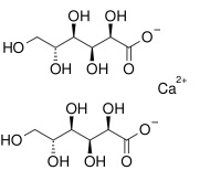
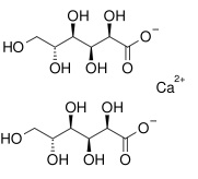
   Formula chimica  

Unguente
Compatibilitate   Unguente   Compatibilitate : Calcium gluconate              
Absenta de date

  Mentions Légales