Utolsó frissítés :
27/04/2026
elektrolit   Calcium gluconate  
kenőcs
Injekció
Stabilitása gyógyszerészeti készítmények A keverékek stabilitása Stabilitást befolyásoló tényezők Kompatibilitás Irodalom pdf
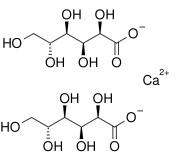
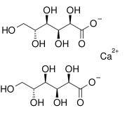
   Kémiai szerkezet   

kenőcs
Kompatibilitás   kenőcs   Kompatibilitás : Calcium gluconate              
Hiányzó adat

  Mentions Légales