 |
|
80 mg
®=? |
| Isoton koksaltlösning |
>>10 ml |
|
2-8°C |
 |
| 42 |
 |
|
2547
|
|
 |
|
140 mg
®=? |
| Isoton koksaltlösning |
>>10 ml |
|
2-8°C |
 |
| 42 |
 |
|
2547
|
|
 |
|
80 mg
®=? |
| Isoton koksaltlösning |
>>10 ml |
|
26°C |
 |
| 7 |
 |
|
2547
|
|
 |
|
140 mg
®=? |
| Isoton koksaltlösning |
>>10 ml |
|
26°C |
 |
| 7 |
 |
|
2547
|
|
 |
|
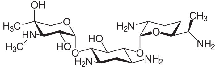
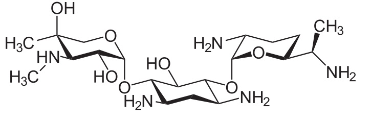
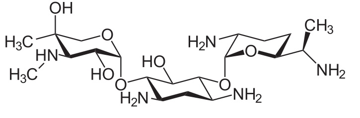
5 ml
gentamycine sulfate 40 mg/ml ®=? (Lyphomed) |
| Genoptic® ögondroppar 3 mg/ml |
2 ml |
|
4-8°C |
 |
| 90 |
 |
|
2487
|
|