最新更新 :
27/04/2026
抗生素   Gentamicin sulfate  
眼药水
注射液
制剂的稳定性 混合物稳定性 影响稳定性的因素 兼容性 引用文献 PDF
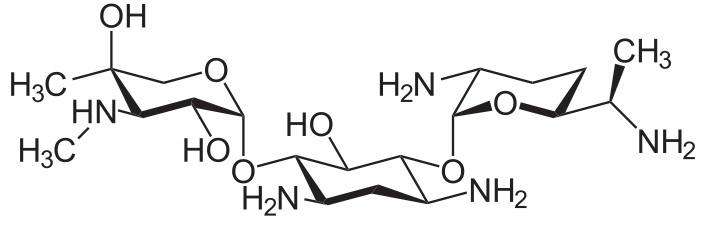
   化学式  

眼药水
制剂的稳定性   眼药水   制剂的稳定性 : Gentamicin sulfate     
容器 Origine 添加剂 温度 保存 穩定持續時間 引用文献
玻璃 注射用瓶 80 mg
®=?
NaCl 0.9% >>10 ml
2-8°C 避光
42 白天
2547

玻璃 注射用瓶 140 mg
®=?
NaCl 0.9% >>10 ml
2-8°C 避光
42 白天
2547

玻璃 注射用瓶 80 mg
®=?
NaCl 0.9% >>10 ml
26°C 无特殊要求
7 白天
2547

玻璃 注射用瓶 140 mg
®=?
NaCl 0.9% >>10 ml
26°C 无特殊要求
7 白天
2547

塑料瓶 注射用瓶 5 ml
gentamycine sulfate 40 mg/ml ®=? (Lyphomed)
Genoptic®眼药水3 mg/ml 2 ml
4-8°C 避光
90 白天
2487


  Mentions Légales