viimane versioon :
27/04/2026
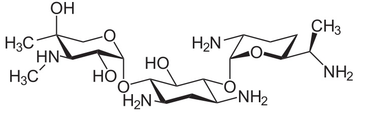
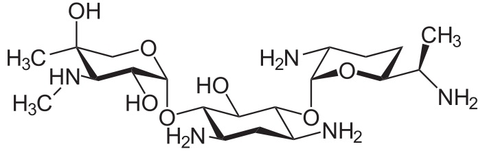
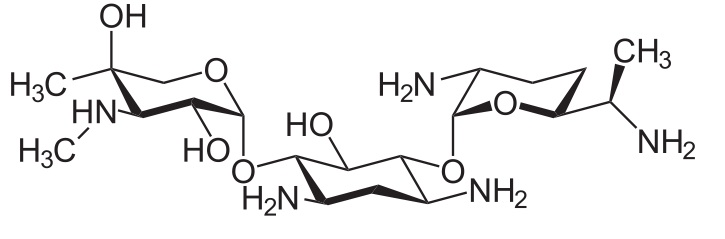
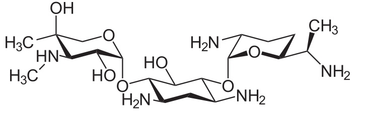
antibiootikum   Gentamicin sulfate  
Silmatilgad
Süsteravim
Stabiilsust ravimpreparaadid Stabiilsust mõjutavad tegurid stabiilsust mõjutavad faktorid Sobimatus Viited pdf
   keemiline struktuur  

Silmatilgad
Stabiilsust ravimpreparaadid   Silmatilgad   Stabiilsust ravimpreparaadid : Gentamicin sulfate     
konteiner Origine  abiaine temperatuur ladustamine Stabiilsuse kestus Viited
klaas Süsteravimi viaal 80 mg
®=?
NaCl 0.9% >>10 ml
2-8°C kaitsta valguse eest
42 päev
2547

klaas Süsteravimi viaal 140 mg
®=?
NaCl 0.9% >>10 ml
2-8°C kaitsta valguse eest
42 päev
2547

klaas Süsteravimi viaal 80 mg
®=?
NaCl 0.9% >>10 ml
26°C pole täpsustatud
7 päev
2547

klaas Süsteravimi viaal 140 mg
®=?
NaCl 0.9% >>10 ml
26°C pole täpsustatud
7 päev
2547

Plastikpudel Süsteravimi viaal 5 ml
gentamycine sulfate 40 mg/ml ®=? (Lyphomed)
Genoptic® eye-drops 3 mg/ml 2 ml
4-8°C kaitsta valguse eest
90 päev
2487


  Mentions Légales