Posledná aktualizácia :
27/04/2026
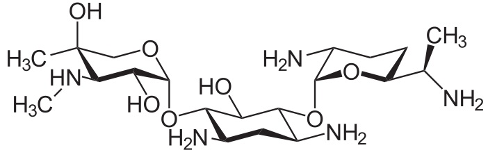
antibiotikum   Gentamicin sulfate  
Očná instilácia
Injekcia
Stabilita farmaceutických prípravkov Stabilita v zmesiach Faktory ovplyvňujúce stabilitu Kompatibility Odkazy na literatúru PDF
   Chemický vzorec  

Očná instilácia
Stabilita farmaceutických prípravkov   Očná instilácia   Stabilita farmaceutických prípravkov : Gentamicin sulfate     
obal Pôvod Pomocná látka teplota uchovávanie Trvanie stability odkazy na lieteratúru
Sklo Injekčná liekovka 80 mg
®=?
NaCl 0.9% >>10 ml
2-8°C Chránené pred svetlom
42 dní
2547

Sklo Injekčná liekovka 140 mg
®=?
NaCl 0.9% >>10 ml
2-8°C Chránené pred svetlom
42 dní
2547

Sklo Injekčná liekovka 80 mg
®=?
NaCl 0.9% >>10 ml
26°C nešpecifikované
7 dní
2547

Sklo Injekčná liekovka 140 mg
®=?
NaCl 0.9% >>10 ml
26°C nešpecifikované
7 dní
2547

Plastová fľaša Injekčná liekovka 5 ml
gentamycine sulfate 40 mg/ml ®=? (Lyphomed)
Genoptic® 3 mg/ml očná instilácia 2 ml
4-8°C Chránené pred svetlom
90 dní
2487


  Mentions Légales