Última actualização :
27/04/2026
antibiótico   Gentamicin sulfate  
solução oftálmica
injetável
Estabilidade de preparações farmacêuticas Estabilidade em misturas Factores que afectam a sua estabilidade Compatibilidade Bibliografía pdf
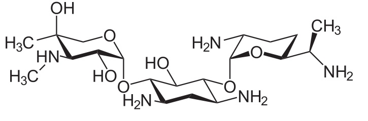
   estrutura química  

solução oftálmica
Estabilidade de preparações farmacêuticas   solução oftálmica   Estabilidade de preparações farmacêuticas : Gentamicin sulfate     
Embalagem Origine excipiente temperatura conservação Duração da estabilidade Bibliografia
vidro frasco de medicamento para injeção 80 mg
®=?
NaCl 0.9% >>10 ml
2-8°C ao abrigo da luz
42 dia
2547

vidro frasco de medicamento para injeção 140 mg
®=?
NaCl 0.9% >>10 ml
2-8°C ao abrigo da luz
42 dia
2547

vidro frasco de medicamento para injeção 80 mg
®=?
NaCl 0.9% >>10 ml
26°C no especificado
7 dia
2547

vidro frasco de medicamento para injeção 140 mg
®=?
NaCl 0.9% >>10 ml
26°C no especificado
7 dia
2547

frasco de plástico frasco de medicamento para injeção 5 ml
gentamycine sulfate 40 mg/ml ®=? (Lyphomed)
Genoptic colírio 3 mg/mL 2 ml
4-8°C ao abrigo da luz
90 dia
2487


  Mentions Légales