Poslední aktualizace :
27/04/2026
Antibiotikas   Gentamicin sulfate  
Akių lašai
Įpurškimas
Stabilumas farmacinių preparatų Mišinių stabilumas Stabilumą lemiantys veiksniai Suderinamumas Bibliografija pdf
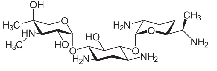
   Cheminė sandara  

Akių lašai
Stabilumas farmacinių preparatų   Akių lašai   Stabilumas farmacinių preparatų : Gentamicin sulfate     
Pakuotė Origine Ekscipientas Temperatūra Laikymas Stabilumo trukmė Nuorodos
Stiklas Vaistų buteliukas injekcijoms 80 mg
®=?
NaCl 0,9 % >>10 ml
2-8°C Apsaugotas nuo šviesos
42 Diena
2547

Stiklas Vaistų buteliukas injekcijoms 140 mg
®=?
NaCl 0,9 % >>10 ml
2-8°C Apsaugotas nuo šviesos
42 Diena
2547

Stiklas Vaistų buteliukas injekcijoms 80 mg
®=?
NaCl 0,9 % >>10 ml
26°C Nenurodyta
7 Diena
2547

Stiklas Vaistų buteliukas injekcijoms 140 mg
®=?
NaCl 0,9 % >>10 ml
26°C Nenurodyta
7 Diena
2547

Plastikinis butelis Vaistų buteliukas injekcijoms 5 ml
gentamycine sulfate 40 mg/ml ®=? (Lyphomed)
Genoptic® akių lašai 3 mg/ml 2 ml
4-8°C Apsaugotas nuo šviesos
90 Diena
2487


  Mentions Légales