Last update :
27/04/2026
Antibiotic   Gentamicin sulfate  
Eye-drops
injection
Stability of pharmaceutical preparations Stability of mixtures Factors which affect stability Compatibility References pdf
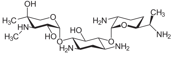
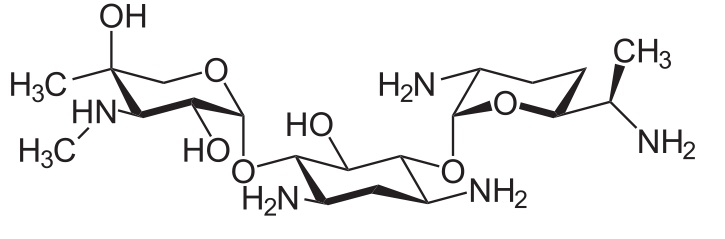
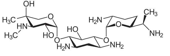
   Chemical structure  

Eye-drops
Stability of pharmaceutical preparations   Eye-drops   Stability of pharmaceutical preparations : Gentamicin sulfate     
Container Origine excipient Temperature Storage Duration of stability References
Glass Medicine bottle for injection 80 mg
®=?
NaCl 0.9% >>10 ml
2-8°C Protect from light
42 Day
2547

Glass Medicine bottle for injection 140 mg
®=?
NaCl 0.9% >>10 ml
2-8°C Protect from light
42 Day
2547

Glass Medicine bottle for injection 80 mg
®=?
NaCl 0.9% >>10 ml
26°C Not specified
7 Day
2547

Glass Medicine bottle for injection 140 mg
®=?
NaCl 0.9% >>10 ml
26°C Not specified
7 Day
2547

plastic bottle Medicine bottle for injection 5 ml
gentamycine sulfate 40 mg/ml ®=? (Lyphomed)
Genoptic® eye-drops 3 mg/ml 2 ml
4-8°C Protect from light
90 Day
2487


  Mentions Légales