Pēdējā atjaunošana :
27/04/2026
Antibiotika   Gentamicin sulfate  
Acu pilieni
Injekcija
Stabilitāte farmaceitisko preparātu Maisījuma stabilitāte Stabilitāti ietekmējoši faktori Saderība Literatūras saraksts pdf
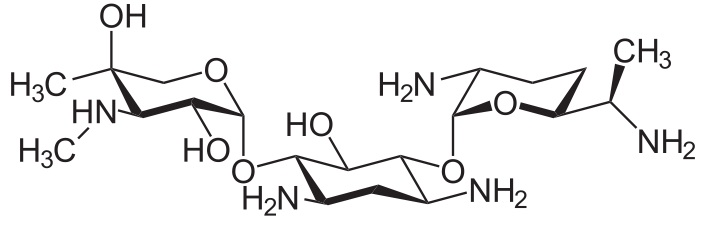
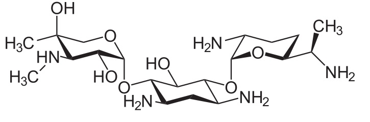
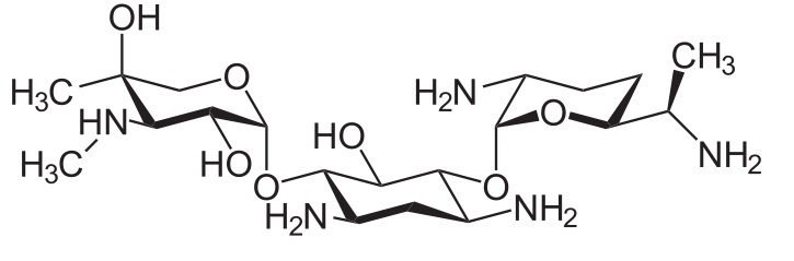
   Ķīmiskā uzbūve   

Acu pilieni
Stabilitāte farmaceitisko preparātu   Acu pilieni   Stabilitāte farmaceitisko preparātu : Gentamicin sulfate     
Iepakojums Origine Palīgviela Temperatūra Glabāšana Stabilitātes ilgums Literatūras saraksts
Stikls Medicīniskā pudele injekcijām 80 mg
®=?
NaCl 0.9% >>10 ml
2-8°C Aizsargāt no gaismas
42 Diena
2547

Stikls Medicīniskā pudele injekcijām 140 mg
®=?
NaCl 0.9% >>10 ml
2-8°C Aizsargāt no gaismas
42 Diena
2547

Stikls Medicīniskā pudele injekcijām 80 mg
®=?
NaCl 0.9% >>10 ml
26°C Nav specifisks
7 Diena
2547

Stikls Medicīniskā pudele injekcijām 140 mg
®=?
NaCl 0.9% >>10 ml
26°C Nav specifisks
7 Diena
2547

Plastmasas pudele Medicīniskā pudele injekcijām 5 ml
gentamycine sulfate 40 mg/ml ®=? (Lyphomed)
Genoptic® acu pilieni 3 mg/ml 2 ml
4-8°C Aizsargāt no gaismas
90 Diena
2487


  Mentions Légales