Poslední aktualizace :
27/04/2026
Antibiotikum   Gentamicin sulfate  
Humbuk
injekce
Stabilita farmaceutických přípravků Stabilita směsí Faktory ovlivňující stabilitu Kompatibilita Odkazy pdf
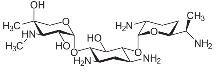
   Chemický vzorec  

Humbuk
Stabilita farmaceutických přípravků   Humbuk   Stabilita farmaceutických přípravků : Gentamicin sulfate     
Obal Origine Pomocné látky Teplota Uchovávání Trvání stability Odkazy
Sklo Lékovka pro injekci 80 mg
®=?
NaCl 0.9% >>10 ml
2-8°C Chráněno před světlem
42 Den
2547

Sklo Lékovka pro injekci 140 mg
®=?
NaCl 0.9% >>10 ml
2-8°C Chráněno před světlem
42 Den
2547

Sklo Lékovka pro injekci 80 mg
®=?
NaCl 0.9% >>10 ml
26°C Nespecifikováno
7 Den
2547

Sklo Lékovka pro injekci 140 mg
®=?
NaCl 0.9% >>10 ml
26°C Nespecifikováno
7 Den
2547

plastová láhev Lékovka pro injekci 5 ml
gentamycine sulfate 40 mg/ml ®=? (Lyphomed)
Genoptic® eye-drops 3 mg/ml 2 ml
4-8°C Chráněno před světlem
90 Den
2487


  Mentions Légales