Ultimo aggiornamento :
27/04/2026
Antibiotico   Gentamicin sulfate  
Collirio
Iniezione
Stabilità dei preparati farmaceutici Stabilità in miscela Fattori che influenzano la stabilità Compatibilità Bibliografia pdf
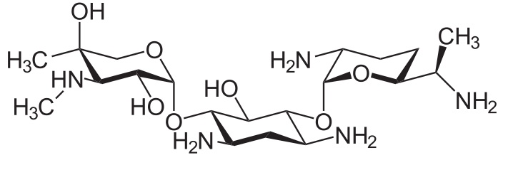
   Struttura chimica  

Collirio
Stabilità dei preparati farmaceutici   Collirio   Stabilità dei preparati farmaceutici : Gentamicin sulfate     
contenitore Origine eccipiente Temperatura Conservazione Durata della stabilità Bibliografia
Vetro Bottiglia di medicina per l'iniezione 80 mg
®=?
NaCl 0.9% >>10 ml
2-8°C Al riparo dalla luce
42 Giorno
2547

Vetro Bottiglia di medicina per l'iniezione 140 mg
®=?
NaCl 0.9% >>10 ml
2-8°C Al riparo dalla luce
42 Giorno
2547

Vetro Bottiglia di medicina per l'iniezione 80 mg
®=?
NaCl 0.9% >>10 ml
26°C Non precisata
7 Giorno
2547

Vetro Bottiglia di medicina per l'iniezione 140 mg
®=?
NaCl 0.9% >>10 ml
26°C Non precisata
7 Giorno
2547

bottiglia di plastica Bottiglia di medicina per l'iniezione 5 ml
gentamycine sulfate 40 mg/ml ®=? (Lyphomed)
Genoptic® eye-drops 3 mg/ml 2 ml
4-8°C Al riparo dalla luce
90 Giorno
2487


  Mentions Légales