Dernière mise à jour :
25/03/2026
Antidote   Sugammadex  
injectable
Stabilité des solutions Stabilité en mélange Facteur influençant la stabilité Compatibilités Voie d’administration Bibliographie pdf
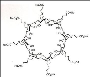
   Structure chimique  

Noms commerciaux   Noms commerciaux     

Les noms commerciaux sont donnés à titre indicatif et la composition en excipients peut être différente selon les pays et selon les laboratoires

Bridion Allemagne, Argentine, Australie, Belgique, Brésil, Chili, Colombie, Danemark, Equateur, Espagne, France, Grande Bretagne, Hongrie, Irlande, Islande, Italie, Japon, Luxembourg, Malaisie, Mexique, Norvège, Nouvelle Zélande, Pérou, Portugal, Roumanie, Suisse, Turquie
Desintunev Mexique
Sagomyl Chili
Sugadion Chili
Sugamastar Pérou
Sugammadex Belgique, Chili, Espagne, Finlande, Hongrie, Irlande, Italie
Suvitali Mexique
Compatibilités   injectable   Compatibilités : Sugammadex              
Cet écran indique les compatibilités ou incompatibilités avec, dans ce cas, le type d'incompatibilité (précipitation, changement de couleur, modification d'une émulsion, etc.). Les compatibilités présentées ici sont pour la plupart uniquement physiques, la stabilité chimique de chaque molécule étant rarement évaluée. L'évaluation de ces mélanges a été étudiée pour envisager la possibilité d'une administration en site Y au patient. Ces données ne peuvent pas être utilisées pour préparer des mélanges à l'avance dans des poches de perfusion ou des seringues. Ce type d'informations est disponible dans l'écran « Stabilité en mélange ».
Molécule Solvant Bibliographie
Compatible
injectable Sugammadex 100 mg/ml
injectable Aminophylline 24 mg/ml
Aucun 3372
Précipitation immédiate Incompatible
injectable Sugammadex 100 mg/ml
injectable Amiodarone hydrochloride 50 mg/ml
Aucun 3372
Compatible
injectable Sugammadex 100 mg/ml
injectable Ampicillin sodium - sulbactam sodium 200 mg/ml
Aucun 3372
Compatible
injectable Sugammadex 100 mg/ml
injectable Atropine sulfate 1 mg/ml
Aucun 3372
Compatible
injectable Sugammadex 100 mg/ml
injectable Bupivacaine hydrochloride 5 mg/ml
Aucun 3372
Compatible
injectable Sugammadex 100 mg/ml
injectable Cefazolin sodium 250 mg/ml
Aucun 3372
Compatible
injectable Sugammadex 100 mg/ml
injectable Dexmedetomidine 100 µg/ml
Aucun 3372
Précipitation immédiate Incompatible
injectable Sugammadex 100 mg/ml
injectable Dobutamine hydrochloride 12.5 mg/ml
Aucun 3372
Compatible
injectable Sugammadex 100 mg/ml
injectable Dopamine hydrochloride 8 mg/ml
Aucun 3372
Compatible
injectable Sugammadex 100 mg/ml
injectable Ephedrine hydrochloride 50 mg/ml
Aucun 3372
Compatible
injectable Sugammadex 100 mg/ml
injectable Epinephrine hydrochloride 1000 µg/ml
Aucun 3372
Compatible
injectable Sugammadex 100 mg/ml
injectable Esomeprazole sodium 40 mg/ml
Aucun 3372
Compatible
injectable Sugammadex 100 mg/ml
injectable Etomidate 2 mg/ml
Aucun 3372
Compatible
injectable Sugammadex 100 mg/ml
injectable Fentanyl citrate 50 µg/ml
Aucun 3372
Compatible
injectable Sugammadex 100 mg/ml
injectable Flumazenil 0.1 mg/ml
Aucun 3372
Compatible
injectable Sugammadex 100 mg/ml
injectable Furosemide 10 mg/ml
Aucun 3372
Compatible
injectable Sugammadex 100 mg/ml
injectable Gentamicin sulfate 40 mg/ml
Aucun 3372
Compatible
injectable Sugammadex 100 mg/ml
injectable Heparin sodium 1000 UI/ml
Aucun 3372
Compatible
injectable Sugammadex 100 mg/ml
injectable Hydrocortisone sodium succinate 250 mg/ml
Aucun 3372
Compatible
injectable Sugammadex 100 mg/ml
injectable Insulin 100 UI/ml
Aucun 3372
Compatible
injectable Sugammadex 100 mg/ml
injectable Ketamine hydrochloride 50 mg/ml
Aucun 3372
Compatible
injectable Sugammadex 100 mg/ml
injectable Levobupivacaine hydrochloride 7.5 mg/ml
Aucun 3372
Compatible
injectable Sugammadex 100 mg/ml
injectable Magnesium sulfate 72.24 mg/ml
Aucun 3372
Compatible
injectable Sugammadex 100 mg/ml
injectable Metamizol sodium 500 mg/ml
Aucun 3372
Compatible
injectable Sugammadex 100 mg/ml
injectable Metoclopramide hydrochloride 5 mg/ml
Aucun 3372
Compatible
injectable Sugammadex 100 mg/ml
injectable Metoprolol tartrate 1 mg/ml
Aucun 3372
Compatible
injectable Sugammadex 100 mg/ml
injectable Midazolam hydrochloride 5 mg/ml
Aucun 3372
Compatible
injectable Sugammadex 100 mg/ml
injectable N-acetylcysteine 100 mg/ml
Aucun 3372
Compatible
injectable Sugammadex 100 mg/ml
injectable Naloxone hydrochloride 0.4 mg/ml
Aucun 3372
Compatible
injectable Sugammadex 100 mg/ml
injectable Neostigmine methylsulfate 0.5 mg/ml
Aucun 3372
Compatible
injectable Sugammadex 100 mg/ml
injectable Nitroglycerin 5 mg/ml
Aucun 3372
Compatible
injectable Sugammadex 100 mg/ml
injectable Nitroprusside sodium 12 mg/ml
Aucun 3372
Compatible
injectable Sugammadex 100 mg/ml
injectable Norepinephrine bitartrate 1 mg/ml
Aucun 3372
Incompatibilité non précisée Incompatible
injectable Sugammadex
injectable Ondansetron hydrochloride
2328
Compatible
injectable Sugammadex 100 mg/ml
injectable Ornidazole 166.67 mg/ml
Aucun 3372
Compatible
injectable Sugammadex 100 mg/ml
injectable Oxytocin 5 UI/ml
Aucun 3372
Compatible
injectable Sugammadex 100 mg/ml
injectable Paracetamol 10 mg/ml
Aucun 3372
Compatible
injectable Sugammadex 100 mg/ml
injectable Pethidine hydrochloride 50 mg/ml
Aucun 3372
Compatible
injectable Sugammadex 100 mg/ml
injectable Phenytoin sodium 50 mg/ml
Aucun 3372
Compatible
injectable Sugammadex 100 mg/ml
injectable Phytomenadione 10 mg/ml
Aucun 3372
Précipitation immédiate Incompatible
injectable Sugammadex 100 mg/ml
injectable Protamine hydrochloride 1000 UI/ml
Aucun 3372
Compatible
injectable Sugammadex
NaCl 0,45% Glucose 2,5% 2328
Compatible
injectable Sugammadex
Ringer lactate 2328
Compatible
injectable Sugammadex 100 mg/ml
injectable Thiopental sodium 25 mg/ml
Aucun 3372
Compatible
injectable Sugammadex
Glucose 5% 2328
Compatible
injectable Sugammadex
Chlorure de sodium 0,9% 2328
Compatible
injectable Sugammadex 100 mg/ml
injectable Propafenone hydrochloride 3.5 mg/ml
Aucun 3372
Incompatibilité non précisée Incompatible
injectable Sugammadex
injectable Ranitidine hydrochloride
2328
Compatible
injectable Sugammadex 100 mg/ml
injectable Remifentanil hydrochloride 5000 µg/ml
Aucun 3372
Compatible
injectable Sugammadex 100 mg/ml
injectable Tenoxicam 10 mg/ml
Aucun 3372
Compatible
injectable Sugammadex 100 mg/ml
injectable Theophylline 24 mg/ml
Aucun 3372
Compatible
injectable Sugammadex 100 mg/ml
injectable Tramadol hydrochloride 50 mg/ml
Aucun 3372
Incompatibilité non précisée Incompatible
injectable Sugammadex
injectable Verapamil hydrochloride
2328

  Mentions Légales