Última actualización :
25/03/2026
Antídoto   Sugammadex  
Inyectables
Estabilidad en solucion Estabilidad en mezcla Factores que influyen sobre la estabilidad Compatibilidades método de inyección Bibliografía pdf
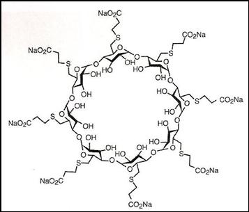
   Estructura química  

Nombre comercial   Nombre comercial     

Los nombres comerciales son orientativos y los excipientes de la formulación pueden ser distintos dependiendo del país y del laboratorio fabricante.

Bridion Alemania, Argentina, Australia, Bélgica, Brasil, Chile, Colombia, Dinamarca, Ecuador, España, Francia, Gran Bretaña, Hungría, Irlanda, Islandia, Italia, Japón, Luxemburgo, Malasia, Marruecos, México, Noruega, Nueva Zelanda, Portugal, Rumania, Suiza, Turquía
Desintunev México
Sagomyl Chile
Sugadion Chile
Sugamastar Marruecos
Sugammadex Bélgica, Chile, España, Finlandia, Hungría, Irlanda, Italia
Suvitali México
Compatibilidades   Inyectables   Compatibilidades : Sugammadex              
Esta pantalla muestra las compatibilidades o incompatibilidades, así como el tipo de incompatibilidad (precipitación, cambio de color, modificación de una emulsión, etc). Las compatibilidades que se recogen aquí son fundamentalmente físicas, mostrando raramente la estabilidad química de la molécula. La evaluación de estas mezclas se estudió con el fin de de comprobar la posibilidad de administración en Y al paciente. Estos datos no pueden utilizarse en el caso de la preparación de mezclas dentro de bolsas o jeringas. Este tipo de información está disponible en la pantalla “Estabilidad en mezcla”.
Molécula Solvente Bibliografía
Compatible
Inyectables Sugammadex 100 mg/ml
Inyectables Aminophylline 24 mg/ml
Ninguno 3372
Precipitación inmediata Incompatible
Inyectables Sugammadex 100 mg/ml
Inyectables Amiodarone hydrochloride 50 mg/ml
Ninguno 3372
Compatible
Inyectables Sugammadex 100 mg/ml
Inyectables Ampicillin sodium - sulbactam sodium 200 mg/ml
Ninguno 3372
Compatible
Inyectables Sugammadex 100 mg/ml
Inyectables Atropine sulfate 1 mg/ml
Ninguno 3372
Compatible
Inyectables Sugammadex 100 mg/ml
Inyectables Bupivacaine hydrochloride 5 mg/ml
Ninguno 3372
Compatible
Inyectables Sugammadex 100 mg/ml
Inyectables Cefazolin sodium 250 mg/ml
Ninguno 3372
Compatible
Inyectables Sugammadex 100 mg/ml
Inyectables Dexmedetomidine 100 µg/ml
Ninguno 3372
Precipitación inmediata Incompatible
Inyectables Sugammadex 100 mg/ml
Inyectables Dobutamine hydrochloride 12.5 mg/ml
Ninguno 3372
Compatible
Inyectables Sugammadex 100 mg/ml
Inyectables Dopamine hydrochloride 8 mg/ml
Ninguno 3372
Compatible
Inyectables Sugammadex 100 mg/ml
Inyectables Ephedrine hydrochloride 50 mg/ml
Ninguno 3372
Compatible
Inyectables Sugammadex 100 mg/ml
Inyectables Epinephrine hydrochloride 1000 µg/ml
Ninguno 3372
Compatible
Inyectables Sugammadex 100 mg/ml
Inyectables Esomeprazole sodium 40 mg/ml
Ninguno 3372
Compatible
Inyectables Sugammadex 100 mg/ml
Inyectables Etomidate 2 mg/ml
Ninguno 3372
Compatible
Inyectables Sugammadex 100 mg/ml
Inyectables Fentanyl citrate 50 µg/ml
Ninguno 3372
Compatible
Inyectables Sugammadex 100 mg/ml
Inyectables Flumazenil 0.1 mg/ml
Ninguno 3372
Compatible
Inyectables Sugammadex 100 mg/ml
Inyectables Furosemide 10 mg/ml
Ninguno 3372
Compatible
Inyectables Sugammadex 100 mg/ml
Inyectables Gentamicin sulfate 40 mg/ml
Ninguno 3372
Compatible
Inyectables Sugammadex 100 mg/ml
Inyectables Heparin sodium 1000 UI/ml
Ninguno 3372
Compatible
Inyectables Sugammadex 100 mg/ml
Inyectables Hydrocortisone sodium succinate 250 mg/ml
Ninguno 3372
Compatible
Inyectables Sugammadex 100 mg/ml
Inyectables Insulin 100 UI/ml
Ninguno 3372
Compatible
Inyectables Sugammadex 100 mg/ml
Inyectables Ketamine hydrochloride 50 mg/ml
Ninguno 3372
Compatible
Inyectables Sugammadex 100 mg/ml
Inyectables Levobupivacaine hydrochloride 7.5 mg/ml
Ninguno 3372
Compatible
Inyectables Sugammadex 100 mg/ml
Inyectables Magnesium sulfate 72.24 mg/ml
Ninguno 3372
Compatible
Inyectables Sugammadex 100 mg/ml
Inyectables Metamizol sodium 500 mg/ml
Ninguno 3372
Compatible
Inyectables Sugammadex 100 mg/ml
Inyectables Metoclopramide hydrochloride 5 mg/ml
Ninguno 3372
Compatible
Inyectables Sugammadex 100 mg/ml
Inyectables Metoprolol tartrate 1 mg/ml
Ninguno 3372
Compatible
Inyectables Sugammadex 100 mg/ml
Inyectables Midazolam hydrochloride 5 mg/ml
Ninguno 3372
Compatible
Inyectables Sugammadex 100 mg/ml
Inyectables N-acetylcysteine 100 mg/ml
Ninguno 3372
Compatible
Inyectables Sugammadex 100 mg/ml
Inyectables Naloxone hydrochloride 0.4 mg/ml
Ninguno 3372
Compatible
Inyectables Sugammadex 100 mg/ml
Inyectables Neostigmine methylsulfate 0.5 mg/ml
Ninguno 3372
Compatible
Inyectables Sugammadex 100 mg/ml
Inyectables Nitroglycerin 5 mg/ml
Ninguno 3372
Compatible
Inyectables Sugammadex 100 mg/ml
Inyectables Nitroprusside sodium 12 mg/ml
Ninguno 3372
Compatible
Inyectables Sugammadex 100 mg/ml
Inyectables Norepinephrine bitartrate 1 mg/ml
Ninguno 3372
Incompatibilidad no especificada Incompatible
Inyectables Sugammadex
Inyectables Ondansetron hydrochloride
2328
Compatible
Inyectables Sugammadex 100 mg/ml
Inyectables Ornidazole 166.67 mg/ml
Ninguno 3372
Compatible
Inyectables Sugammadex 100 mg/ml
Inyectables Oxytocin 5 UI/ml
Ninguno 3372
Compatible
Inyectables Sugammadex 100 mg/ml
Inyectables Paracetamol 10 mg/ml
Ninguno 3372
Compatible
Inyectables Sugammadex 100 mg/ml
Inyectables Pethidine hydrochloride 50 mg/ml
Ninguno 3372
Compatible
Inyectables Sugammadex 100 mg/ml
Inyectables Phenytoin sodium 50 mg/ml
Ninguno 3372
Compatible
Inyectables Sugammadex 100 mg/ml
Inyectables Phytomenadione 10 mg/ml
Ninguno 3372
Precipitación inmediata Incompatible
Inyectables Sugammadex 100 mg/ml
Inyectables Protamine hydrochloride 1000 UI/ml
Ninguno 3372
Compatible
Inyectables Sugammadex
NaCl 0,45% Glucosa 2,5% 2328
Compatible
Inyectables Sugammadex
Ringer lactato 2328
Compatible
Inyectables Sugammadex 100 mg/ml
Inyectables Thiopental sodium 25 mg/ml
Ninguno 3372
Compatible
Inyectables Sugammadex
Glucosa 5% 2328
Compatible
Inyectables Sugammadex
Cloruro de sodio 0,9% 2328
Compatible
Inyectables Sugammadex 100 mg/ml
Inyectables Propafenone hydrochloride 3.5 mg/ml
Ninguno 3372
Incompatibilidad no especificada Incompatible
Inyectables Sugammadex
Inyectables Ranitidine hydrochloride
2328
Compatible
Inyectables Sugammadex 100 mg/ml
Inyectables Remifentanil hydrochloride 5000 µg/ml
Ninguno 3372
Compatible
Inyectables Sugammadex 100 mg/ml
Inyectables Tenoxicam 10 mg/ml
Ninguno 3372
Compatible
Inyectables Sugammadex 100 mg/ml
Inyectables Theophylline 24 mg/ml
Ninguno 3372
Compatible
Inyectables Sugammadex 100 mg/ml
Inyectables Tramadol hydrochloride 50 mg/ml
Ninguno 3372
Incompatibilidad no especificada Incompatible
Inyectables Sugammadex
Inyectables Verapamil hydrochloride
2328

  Mentions Légales