viimane versioon :
27/11/2025
antidoot   Sugammadex  
Süsteravim
Stabiilsus lahustes Stabiilsust mõjutavad tegurid stabiilsust mõjutavad faktorid Sobimatus Manustamis viis Viited pdf
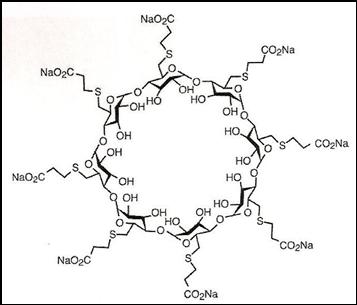
   keemiline struktuur  

Kaubanduslikud nimed erinevates maades   Kaubanduslikud nimed erinevates maades     

Preparaatide nimed on näitlikud ja abianete sisaldus võib erineda sõltuvalt riigist ja laborist

Bridion Argentiina, Austraalia, Belgia, Brasiilia, Ecuador, Hispaania, Iirimaa, Island, Itaalia, Jaapan, Kolumbia, Luksemburg, Malaisia, Maroko, Mehhiko, Norra, Portugal, Prantsusmaa, Rumeenia, Saksamaa, Suurbritannia, Sveits, Taani, Tšiili, Türgi, Ungari, uus-Meremaa
Desintunev Mehhiko
Sagomyl Tšiili
Sugadion Tšiili
Sugamastar Maroko
Sugammadex Belgia, Hispaania, Iirimaa, Itaalia, Soome, Tšiili, Ungari
Suvitali Mehhiko
Sobimatus   Süsteravim   Sobimatus : Sugammadex              
Sellel lehel kuvatakse sobimatusi ja sobimatuse tüüpi (sadenemine, värvuse muutus, emulsiooni modifitseerumine jne). Enamasti on siin lehel kuvatud füüsikalised sobimatused, kuna molekulide keemilist stabiilsust hinnatakse harva. Hinnatud on segude sobivust Y-liinis. Antud infot ei saa kasutada ravimite sobivuse hindamiseks juhul, kui ravimid on segatud süstaldes või infusioonikottides. See info on lehel « stabiilsus segudes ».
ingredient lahusti Viited
Ühilduv
Süsteravim Sugammadex 100 mg/ml
Süsteravim Aminophylline 24 mg/ml
mitte ükski 3372
Kohene sade Sobimatu
Süsteravim Sugammadex 100 mg/ml
Süsteravim Amiodarone hydrochloride 50 mg/ml
mitte ükski 3372
Ühilduv
Süsteravim Sugammadex 100 mg/ml
Süsteravim Ampicillin sodium - sulbactam sodium 200 mg/ml
mitte ükski 3372
Ühilduv
Süsteravim Sugammadex 100 mg/ml
Süsteravim Atropine sulfate 1 mg/ml
mitte ükski 3372
Ühilduv
Süsteravim Sugammadex 100 mg/ml
Süsteravim Bupivacaine hydrochloride 5 mg/ml
mitte ükski 3372
Ühilduv
Süsteravim Sugammadex 100 mg/ml
Süsteravim Cefazolin sodium 250 mg/ml
mitte ükski 3372
Ühilduv
Süsteravim Sugammadex 100 mg/ml
Süsteravim Dexmedetomidine 100 µg/ml
mitte ükski 3372
Kohene sade Sobimatu
Süsteravim Sugammadex 100 mg/ml
Süsteravim Dobutamine hydrochloride 12.5 mg/ml
mitte ükski 3372
Ühilduv
Süsteravim Sugammadex 100 mg/ml
Süsteravim Dopamine hydrochloride 8 mg/ml
mitte ükski 3372
Ühilduv
Süsteravim Sugammadex 100 mg/ml
Süsteravim Ephedrine hydrochloride 50 mg/ml
mitte ükski 3372
Ühilduv
Süsteravim Sugammadex 100 mg/ml
Süsteravim Epinephrine hydrochloride 1000 µg/ml
mitte ükski 3372
Ühilduv
Süsteravim Sugammadex 100 mg/ml
Süsteravim Esomeprazole sodium 40 mg/ml
mitte ükski 3372
Ühilduv
Süsteravim Sugammadex 100 mg/ml
Süsteravim Etomidate 2 mg/ml
mitte ükski 3372
Ühilduv
Süsteravim Sugammadex 100 mg/ml
Süsteravim Fentanyl citrate 50 µg/ml
mitte ükski 3372
Ühilduv
Süsteravim Sugammadex 100 mg/ml
Süsteravim Flumazenil 0.1 mg/ml
mitte ükski 3372
Ühilduv
Süsteravim Sugammadex 100 mg/ml
Süsteravim Furosemide 10 mg/ml
mitte ükski 3372
Ühilduv
Süsteravim Sugammadex 100 mg/ml
Süsteravim Gentamicin sulfate 40 mg/ml
mitte ükski 3372
Ühilduv
Süsteravim Sugammadex 100 mg/ml
Süsteravim Heparin sodium 1000 UI/ml
mitte ükski 3372
Ühilduv
Süsteravim Sugammadex 100 mg/ml
Süsteravim Hydrocortisone sodium succinate 250 mg/ml
mitte ükski 3372
Ühilduv
Süsteravim Sugammadex 100 mg/ml
Süsteravim Insulin 100 UI/ml
mitte ükski 3372
Ühilduv
Süsteravim Sugammadex 100 mg/ml
Süsteravim Ketamine hydrochloride 50 mg/ml
mitte ükski 3372
Ühilduv
Süsteravim Sugammadex 100 mg/ml
Süsteravim Levobupivacaine hydrochloride 7.5 mg/ml
mitte ükski 3372
Ühilduv
Süsteravim Sugammadex 100 mg/ml
Süsteravim Magnesium sulfate 72.24 mg/ml
mitte ükski 3372
Ühilduv
Süsteravim Sugammadex 100 mg/ml
Süsteravim Metamizol sodium 500 mg/ml
mitte ükski 3372
Ühilduv
Süsteravim Sugammadex 100 mg/ml
Süsteravim Metoclopramide hydrochloride 5 mg/ml
mitte ükski 3372
Ühilduv
Süsteravim Sugammadex 100 mg/ml
Süsteravim Metoprolol tartrate 1 mg/ml
mitte ükski 3372
Ühilduv
Süsteravim Sugammadex 100 mg/ml
Süsteravim Midazolam hydrochloride 5 mg/ml
mitte ükski 3372
Ühilduv
Süsteravim Sugammadex 100 mg/ml
Süsteravim N-acetylcysteine 100 mg/ml
mitte ükski 3372
Ühilduv
Süsteravim Sugammadex 100 mg/ml
Süsteravim Naloxone hydrochloride 0.4 mg/ml
mitte ükski 3372
Ühilduv
Süsteravim Sugammadex 100 mg/ml
Süsteravim Neostigmine methylsulfate 0.5 mg/ml
mitte ükski 3372
Ühilduv
Süsteravim Sugammadex 100 mg/ml
Süsteravim Nitroglycerin 5 mg/ml
mitte ükski 3372
Ühilduv
Süsteravim Sugammadex 100 mg/ml
Süsteravim Nitroprusside sodium 12 mg/ml
mitte ükski 3372
Ühilduv
Süsteravim Sugammadex 100 mg/ml
Süsteravim Norepinephrine bitartrate 1 mg/ml
mitte ükski 3372
Täpsustamata sobimatus Sobimatu
Süsteravim Sugammadex
Süsteravim Ondansetron hydrochloride
2328
Ühilduv
Süsteravim Sugammadex 100 mg/ml
Süsteravim Ornidazole 166.67 mg/ml
mitte ükski 3372
Ühilduv
Süsteravim Sugammadex 100 mg/ml
Süsteravim Oxytocin 5 UI/ml
mitte ükski 3372
Ühilduv
Süsteravim Sugammadex 100 mg/ml
Süsteravim Paracetamol 10 mg/ml
mitte ükski 3372
Ühilduv
Süsteravim Sugammadex 100 mg/ml
Süsteravim Pethidine hydrochloride 50 mg/ml
mitte ükski 3372
Ühilduv
Süsteravim Sugammadex 100 mg/ml
Süsteravim Phenytoin sodium 50 mg/ml
mitte ükski 3372
Ühilduv
Süsteravim Sugammadex 100 mg/ml
Süsteravim Phytomenadione 10 mg/ml
mitte ükski 3372
Kohene sade Sobimatu
Süsteravim Sugammadex 100 mg/ml
Süsteravim Protamine hydrochloride 1000 UI/ml
mitte ükski 3372
Ühilduv
Süsteravim Sugammadex
NaCl 0,45% glükoos 2,5% 2328
Ühilduv
Süsteravim Sugammadex
Ringer laktaat 2328
Ühilduv
Süsteravim Sugammadex 100 mg/ml
Süsteravim Thiopental sodium 25 mg/ml
mitte ükski 3372
Ühilduv
Süsteravim Sugammadex
glükoos 5% 2328
Ühilduv
Süsteravim Sugammadex
naatriumkloriid 0.9% 2328
Ühilduv
Süsteravim Sugammadex 100 mg/ml
Süsteravim Propafenone hydrochloride 3.5 mg/ml
mitte ükski 3372
Täpsustamata sobimatus Sobimatu
Süsteravim Sugammadex
Süsteravim Ranitidine hydrochloride
2328
Ühilduv
Süsteravim Sugammadex 100 mg/ml
Süsteravim Remifentanil hydrochloride 5000 µg/ml
mitte ükski 3372
Ühilduv
Süsteravim Sugammadex 100 mg/ml
Süsteravim Tenoxicam 10 mg/ml
mitte ükski 3372
Ühilduv
Süsteravim Sugammadex 100 mg/ml
Süsteravim Theophylline 24 mg/ml
mitte ükski 3372
Ühilduv
Süsteravim Sugammadex 100 mg/ml
Süsteravim Tramadol hydrochloride 50 mg/ml
mitte ükski 3372
Täpsustamata sobimatus Sobimatu
Süsteravim Sugammadex
Süsteravim Verapamil hydrochloride
2328

  Mentions Légales