Utolsó frissítés :
27/11/2025
Antidotum   Sugammadex  
Injekció
Az oldatok stabilitása A keverékek stabilitása Stabilitást befolyásoló tényezők Kompatibilitás Az alkalmazás módja Irodalom pdf
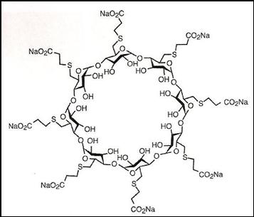
   Kémiai szerkezet   

Kereskedelmi név   Kereskedelmi név     

A kereskedelmi név meghatározó jelentőségű: a készítmények összetétele országonként, előállítóként eltérő lehet

Bridion Argentína, Ausztrália, Belgium, Brazília, Chile, Colombia, Dánia, Ecuador, Franciaország, Írország, Izland, Japán, Luxemburg, Magyarország, Malaysia, Mexikó, Nagy-Britannia, Németország, Norvégia, Olaszország, Peru, Portugália, Románia, Spanyolország, Svájc, Törökország, új-Zéland
Desintunev Mexikó
Sagomyl Chile
Sugadion Chile
Sugamastar Peru
Sugammadex Belgium, Chile, Finnország, Írország, Magyarország, Olaszország, Spanyolország
Suvitali Mexikó
Kompatibilitás   Injekció   Kompatibilitás : Sugammadex              
Ovdje su prikazane kompatibilnosti ili nekompatibilnosti s tipom nekompatibilnosti (taloženje, promjena boje, modifikacija emulzije itd.) u ovom slučaju. Kompatibilnosti prikazane ovdje najčešće su fizikalne dok se kemijska stabilnost molekule rijetko procjenjuje. Procjena ovih mikstura je proučavana kako bi se razmotrila mogućnost primjene lijeka putem Y-mjesta. Ovi se podaci ne smiju koristiti za pripremu mikstura unaprijed u vrećicama ili štrcaljkama. Ova vrsta informacije se može pronaći u odjeljku « stabilnost u miksturama ».
Vegyület Oldószer Irodalom
Összeegyeztethető
Injekció Sugammadex 100 mg/ml
Injekció Aminophylline 24 mg/ml
Egy sem 3372
Azonnali csapadék Összeegyeztethetetlen
Injekció Sugammadex 100 mg/ml
Injekció Amiodarone hydrochloride 50 mg/ml
Egy sem 3372
Összeegyeztethető
Injekció Sugammadex 100 mg/ml
Injekció Ampicillin sodium - sulbactam sodium 200 mg/ml
Egy sem 3372
Összeegyeztethető
Injekció Sugammadex 100 mg/ml
Injekció Atropine sulfate 1 mg/ml
Egy sem 3372
Összeegyeztethető
Injekció Sugammadex 100 mg/ml
Injekció Bupivacaine hydrochloride 5 mg/ml
Egy sem 3372
Összeegyeztethető
Injekció Sugammadex 100 mg/ml
Injekció Cefazolin sodium 250 mg/ml
Egy sem 3372
Összeegyeztethető
Injekció Sugammadex 100 mg/ml
Injekció Dexmedetomidine 100 µg/ml
Egy sem 3372
Azonnali csapadék Összeegyeztethetetlen
Injekció Sugammadex 100 mg/ml
Injekció Dobutamine hydrochloride 12.5 mg/ml
Egy sem 3372
Összeegyeztethető
Injekció Sugammadex 100 mg/ml
Injekció Dopamine hydrochloride 8 mg/ml
Egy sem 3372
Összeegyeztethető
Injekció Sugammadex 100 mg/ml
Injekció Ephedrine hydrochloride 50 mg/ml
Egy sem 3372
Összeegyeztethető
Injekció Sugammadex 100 mg/ml
Injekció Epinephrine hydrochloride 1000 µg/ml
Egy sem 3372
Összeegyeztethető
Injekció Sugammadex 100 mg/ml
Injekció Esomeprazole sodium 40 mg/ml
Egy sem 3372
Összeegyeztethető
Injekció Sugammadex 100 mg/ml
Injekció Etomidate 2 mg/ml
Egy sem 3372
Összeegyeztethető
Injekció Sugammadex 100 mg/ml
Injekció Fentanyl citrate 50 µg/ml
Egy sem 3372
Összeegyeztethető
Injekció Sugammadex 100 mg/ml
Injekció Flumazenil 0.1 mg/ml
Egy sem 3372
Összeegyeztethető
Injekció Sugammadex 100 mg/ml
Injekció Furosemide 10 mg/ml
Egy sem 3372
Összeegyeztethető
Injekció Sugammadex 100 mg/ml
Injekció Gentamicin sulfate 40 mg/ml
Egy sem 3372
Összeegyeztethető
Injekció Sugammadex 100 mg/ml
Injekció Heparin sodium 1000 UI/ml
Egy sem 3372
Összeegyeztethető
Injekció Sugammadex 100 mg/ml
Injekció Hydrocortisone sodium succinate 250 mg/ml
Egy sem 3372
Összeegyeztethető
Injekció Sugammadex 100 mg/ml
Injekció Insulin 100 UI/ml
Egy sem 3372
Összeegyeztethető
Injekció Sugammadex 100 mg/ml
Injekció Ketamine hydrochloride 50 mg/ml
Egy sem 3372
Összeegyeztethető
Injekció Sugammadex 100 mg/ml
Injekció Levobupivacaine hydrochloride 7.5 mg/ml
Egy sem 3372
Összeegyeztethető
Injekció Sugammadex 100 mg/ml
Injekció Magnesium sulfate 72.24 mg/ml
Egy sem 3372
Összeegyeztethető
Injekció Sugammadex 100 mg/ml
Injekció Metamizol sodium 500 mg/ml
Egy sem 3372
Összeegyeztethető
Injekció Sugammadex 100 mg/ml
Injekció Metoclopramide hydrochloride 5 mg/ml
Egy sem 3372
Összeegyeztethető
Injekció Sugammadex 100 mg/ml
Injekció Metoprolol tartrate 1 mg/ml
Egy sem 3372
Összeegyeztethető
Injekció Sugammadex 100 mg/ml
Injekció Midazolam hydrochloride 5 mg/ml
Egy sem 3372
Összeegyeztethető
Injekció Sugammadex 100 mg/ml
Injekció N-acetylcysteine 100 mg/ml
Egy sem 3372
Összeegyeztethető
Injekció Sugammadex 100 mg/ml
Injekció Naloxone hydrochloride 0.4 mg/ml
Egy sem 3372
Összeegyeztethető
Injekció Sugammadex 100 mg/ml
Injekció Neostigmine methylsulfate 0.5 mg/ml
Egy sem 3372
Összeegyeztethető
Injekció Sugammadex 100 mg/ml
Injekció Nitroglycerin 5 mg/ml
Egy sem 3372
Összeegyeztethető
Injekció Sugammadex 100 mg/ml
Injekció Nitroprusside sodium 12 mg/ml
Egy sem 3372
Összeegyeztethető
Injekció Sugammadex 100 mg/ml
Injekció Norepinephrine bitartrate 1 mg/ml
Egy sem 3372
Meghatározatlan összeférhetetlenség Összeegyeztethetetlen
Injekció Sugammadex
Injekció Ondansetron hydrochloride
2328
Összeegyeztethető
Injekció Sugammadex 100 mg/ml
Injekció Ornidazole 166.67 mg/ml
Egy sem 3372
Összeegyeztethető
Injekció Sugammadex 100 mg/ml
Injekció Oxytocin 5 UI/ml
Egy sem 3372
Összeegyeztethető
Injekció Sugammadex 100 mg/ml
Injekció Paracetamol 10 mg/ml
Egy sem 3372
Összeegyeztethető
Injekció Sugammadex 100 mg/ml
Injekció Pethidine hydrochloride 50 mg/ml
Egy sem 3372
Összeegyeztethető
Injekció Sugammadex 100 mg/ml
Injekció Phenytoin sodium 50 mg/ml
Egy sem 3372
Összeegyeztethető
Injekció Sugammadex 100 mg/ml
Injekció Phytomenadione 10 mg/ml
Egy sem 3372
Azonnali csapadék Összeegyeztethetetlen
Injekció Sugammadex 100 mg/ml
Injekció Protamine hydrochloride 1000 UI/ml
Egy sem 3372
Összeegyeztethető
Injekció Sugammadex
NaCl 0,45% glükóz 2,5% 2328
Összeegyeztethető
Injekció Sugammadex
Ringer-laktát oldat 2328
Összeegyeztethető
Injekció Sugammadex 100 mg/ml
Injekció Thiopental sodium 25 mg/ml
Egy sem 3372
Összeegyeztethető
Injekció Sugammadex
5% glükóz 2328
Összeegyeztethető
Injekció Sugammadex
0,9% nátrium-klorid 2328
Összeegyeztethető
Injekció Sugammadex 100 mg/ml
Injekció Propafenone hydrochloride 3.5 mg/ml
Egy sem 3372
Meghatározatlan összeférhetetlenség Összeegyeztethetetlen
Injekció Sugammadex
Injekció Ranitidine hydrochloride
2328
Összeegyeztethető
Injekció Sugammadex 100 mg/ml
Injekció Remifentanil hydrochloride 5000 µg/ml
Egy sem 3372
Összeegyeztethető
Injekció Sugammadex 100 mg/ml
Injekció Tenoxicam 10 mg/ml
Egy sem 3372
Összeegyeztethető
Injekció Sugammadex 100 mg/ml
Injekció Theophylline 24 mg/ml
Egy sem 3372
Összeegyeztethető
Injekció Sugammadex 100 mg/ml
Injekció Tramadol hydrochloride 50 mg/ml
Egy sem 3372
Meghatározatlan összeférhetetlenség Összeegyeztethetetlen
Injekció Sugammadex
Injekció Verapamil hydrochloride
2328

  Mentions Légales