Son güncelleme :
25/03/2026
Antidot   Sugammadex  
Enjeksiyon
Çözeltilerin stabilitesi Karışımlardaki stabilitesi Stabiliteyi etkileyen faktörler Uyumluluk Uygulama yöntemi Kaynaklar pdf
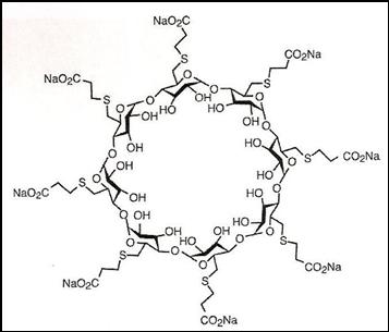
   Kimyasal yapı   

Ticari isim   Ticari isim     

Trade names are indicative and excipients composition can be different depending on the country and manufacturers

Bridion Almanya, Arjantin, Avustralya, Belçika, Brezilya, Büyük Britanya, Danimarka, Ekvador, Fransa, İrlanda, İspanya, İsviçre, İtalya, İzlanda, Japonya, Kolombiya, Lüksemburg, Macaristan, Malezya, Meksika, Norveç, Peru, Portekiz, Romanya, Şili, Türkiye, yeni Zelanda
Desintunev Meksika
Sagomyl Şili
Sugadion Şili
Sugamastar Peru
Sugammadex Belçika, Finlandiya, İrlanda, İspanya, İtalya, Macaristan, Şili
Suvitali Meksika
Uyumluluk   Enjeksiyon    Uyumluluk : Sugammadex              
Bu ekran, bu durumda uyumsuzluk tipiyle (çökelme, renk değişimi, bir emülsiyonun modifikasyonu, vb.) Uyumlulukları veya uyumsuzlukları gösterir. Burada gösterilen uyumluluklar çoğunlukla yalnızca fizikseldir ve her molekülün kimyasal stabilitesi nadiren değerlendirilir. Bu karışımların değerlendirilmesi, hastaya Y bölgesi uygulama olasılığını göz önünde bulundurmak için çalışıldı. Bu veriler önceden torba veya şırıngalarda karışım yapmak için kullanılamaz. Bu tür bilgiler "Karışımda stabilite" ekranında mevcuttur.
Bileşik Çözücü Kaynaklar
Uyumlu
Enjeksiyon Sugammadex 100 mg/ml
Enjeksiyon Aminophylline 24 mg/ml
Yok 3372
Acil yağış uyumsuz
Enjeksiyon Sugammadex 100 mg/ml
Enjeksiyon Amiodarone hydrochloride 50 mg/ml
Yok 3372
Uyumlu
Enjeksiyon Sugammadex 100 mg/ml
Enjeksiyon Ampicillin sodium - sulbactam sodium 200 mg/ml
Yok 3372
Uyumlu
Enjeksiyon Sugammadex 100 mg/ml
Enjeksiyon Atropine sulfate 1 mg/ml
Yok 3372
Uyumlu
Enjeksiyon Sugammadex 100 mg/ml
Enjeksiyon Bupivacaine hydrochloride 5 mg/ml
Yok 3372
Uyumlu
Enjeksiyon Sugammadex 100 mg/ml
Enjeksiyon Cefazolin sodium 250 mg/ml
Yok 3372
Uyumlu
Enjeksiyon Sugammadex 100 mg/ml
Enjeksiyon Dexmedetomidine 100 µg/ml
Yok 3372
Acil yağış uyumsuz
Enjeksiyon Sugammadex 100 mg/ml
Enjeksiyon Dobutamine hydrochloride 12.5 mg/ml
Yok 3372
Uyumlu
Enjeksiyon Sugammadex 100 mg/ml
Enjeksiyon Dopamine hydrochloride 8 mg/ml
Yok 3372
Uyumlu
Enjeksiyon Sugammadex 100 mg/ml
Enjeksiyon Ephedrine hydrochloride 50 mg/ml
Yok 3372
Uyumlu
Enjeksiyon Sugammadex 100 mg/ml
Enjeksiyon Epinephrine hydrochloride 1000 µg/ml
Yok 3372
Uyumlu
Enjeksiyon Sugammadex 100 mg/ml
Enjeksiyon Esomeprazole sodium 40 mg/ml
Yok 3372
Uyumlu
Enjeksiyon Sugammadex 100 mg/ml
Enjeksiyon Etomidate 2 mg/ml
Yok 3372
Uyumlu
Enjeksiyon Sugammadex 100 mg/ml
Enjeksiyon Fentanyl citrate 50 µg/ml
Yok 3372
Uyumlu
Enjeksiyon Sugammadex 100 mg/ml
Enjeksiyon Flumazenil 0.1 mg/ml
Yok 3372
Uyumlu
Enjeksiyon Sugammadex 100 mg/ml
Enjeksiyon Furosemide 10 mg/ml
Yok 3372
Uyumlu
Enjeksiyon Sugammadex 100 mg/ml
Enjeksiyon Gentamicin sulfate 40 mg/ml
Yok 3372
Uyumlu
Enjeksiyon Sugammadex 100 mg/ml
Enjeksiyon Heparin sodium 1000 UI/ml
Yok 3372
Uyumlu
Enjeksiyon Sugammadex 100 mg/ml
Enjeksiyon Hydrocortisone sodium succinate 250 mg/ml
Yok 3372
Uyumlu
Enjeksiyon Sugammadex 100 mg/ml
Enjeksiyon Insulin 100 UI/ml
Yok 3372
Uyumlu
Enjeksiyon Sugammadex 100 mg/ml
Enjeksiyon Ketamine hydrochloride 50 mg/ml
Yok 3372
Uyumlu
Enjeksiyon Sugammadex 100 mg/ml
Enjeksiyon Levobupivacaine hydrochloride 7.5 mg/ml
Yok 3372
Uyumlu
Enjeksiyon Sugammadex 100 mg/ml
Enjeksiyon Magnesium sulfate 72.24 mg/ml
Yok 3372
Uyumlu
Enjeksiyon Sugammadex 100 mg/ml
Enjeksiyon Metamizol sodium 500 mg/ml
Yok 3372
Uyumlu
Enjeksiyon Sugammadex 100 mg/ml
Enjeksiyon Metoclopramide hydrochloride 5 mg/ml
Yok 3372
Uyumlu
Enjeksiyon Sugammadex 100 mg/ml
Enjeksiyon Metoprolol tartrate 1 mg/ml
Yok 3372
Uyumlu
Enjeksiyon Sugammadex 100 mg/ml
Enjeksiyon Midazolam hydrochloride 5 mg/ml
Yok 3372
Uyumlu
Enjeksiyon Sugammadex 100 mg/ml
Enjeksiyon N-acetylcysteine 100 mg/ml
Yok 3372
Uyumlu
Enjeksiyon Sugammadex 100 mg/ml
Enjeksiyon Naloxone hydrochloride 0.4 mg/ml
Yok 3372
Uyumlu
Enjeksiyon Sugammadex 100 mg/ml
Enjeksiyon Neostigmine methylsulfate 0.5 mg/ml
Yok 3372
Uyumlu
Enjeksiyon Sugammadex 100 mg/ml
Enjeksiyon Nitroglycerin 5 mg/ml
Yok 3372
Uyumlu
Enjeksiyon Sugammadex 100 mg/ml
Enjeksiyon Nitroprusside sodium 12 mg/ml
Yok 3372
Uyumlu
Enjeksiyon Sugammadex 100 mg/ml
Enjeksiyon Norepinephrine bitartrate 1 mg/ml
Yok 3372
Belirtilmemiş uyumsuzluk uyumsuz
Enjeksiyon Sugammadex
Enjeksiyon Ondansetron hydrochloride
2328
Uyumlu
Enjeksiyon Sugammadex 100 mg/ml
Enjeksiyon Ornidazole 166.67 mg/ml
Yok 3372
Uyumlu
Enjeksiyon Sugammadex 100 mg/ml
Enjeksiyon Oxytocin 5 UI/ml
Yok 3372
Uyumlu
Enjeksiyon Sugammadex 100 mg/ml
Enjeksiyon Paracetamol 10 mg/ml
Yok 3372
Uyumlu
Enjeksiyon Sugammadex 100 mg/ml
Enjeksiyon Pethidine hydrochloride 50 mg/ml
Yok 3372
Uyumlu
Enjeksiyon Sugammadex 100 mg/ml
Enjeksiyon Phenytoin sodium 50 mg/ml
Yok 3372
Uyumlu
Enjeksiyon Sugammadex 100 mg/ml
Enjeksiyon Phytomenadione 10 mg/ml
Yok 3372
Acil yağış uyumsuz
Enjeksiyon Sugammadex 100 mg/ml
Enjeksiyon Protamine hydrochloride 1000 UI/ml
Yok 3372
Uyumlu
Enjeksiyon Sugammadex
NaCl 0,45% Glukoz 2,5% 2328
Uyumlu
Enjeksiyon Sugammadex
Laktatlı ringer 2328
Uyumlu
Enjeksiyon Sugammadex 100 mg/ml
Enjeksiyon Thiopental sodium 25 mg/ml
Yok 3372
Uyumlu
Enjeksiyon Sugammadex
Glukoz %5 2328
Uyumlu
Enjeksiyon Sugammadex
Sodyum klorür % 0,9 2328
Uyumlu
Enjeksiyon Sugammadex 100 mg/ml
Enjeksiyon Propafenone hydrochloride 3.5 mg/ml
Yok 3372
Belirtilmemiş uyumsuzluk uyumsuz
Enjeksiyon Sugammadex
Enjeksiyon Ranitidine hydrochloride
2328
Uyumlu
Enjeksiyon Sugammadex 100 mg/ml
Enjeksiyon Remifentanil hydrochloride 5000 µg/ml
Yok 3372
Uyumlu
Enjeksiyon Sugammadex 100 mg/ml
Enjeksiyon Tenoxicam 10 mg/ml
Yok 3372
Uyumlu
Enjeksiyon Sugammadex 100 mg/ml
Enjeksiyon Theophylline 24 mg/ml
Yok 3372
Uyumlu
Enjeksiyon Sugammadex 100 mg/ml
Enjeksiyon Tramadol hydrochloride 50 mg/ml
Yok 3372
Belirtilmemiş uyumsuzluk uyumsuz
Enjeksiyon Sugammadex
Enjeksiyon Verapamil hydrochloride
2328

  Mentions Légales