Viimeisin päivitys :
27/11/2025
Antidootit   Sugammadex  
Injektioneste
Stabilius liuoksessa Stabilius seoksissa Tekijät, jotka vaikuttavat stabiliuteen Yhteensopivuus Antotapa Viitteet pdf
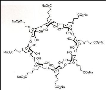
   Kemiallinen rakenne  

Kauppanimi   Kauppanimi     

Trade names are indicative and excipients composition can be different depending on the country and manufacturers

Bridion Argentiina, Australia, Belgia, Brasilia, Chile, Ecuador, Espanja, Irlanti, Islanti, Iso-Britannia, Italia, Japani, Kolumbia, Luxemburg, Malesia, Marokko, Meksiko, New Zealand, Norja, Portugali, Ranska, Romania, Saksa, Sveitsi, Tanska, Turkki, Unkari
Desintunev Meksiko
Sagomyl Chile
Sugadion Chile
Sugamastar Marokko
Sugammadex Belgia, Chile, Espanja, Irlanti, Italia, Suomi, Unkari
Suvitali Meksiko
Yhteensopivuus   Injektioneste   Yhteensopivuus : Sugammadex              
Tämä näyttö osoittaa yhteensopivuuden tai yhteensopimattomuuden yhteensopimattomuuden tyypin kanssa (saostuminen, värinmuutos, emulsiomuutos jne.). Tässä esitetty yhteensopivuus on useimmissa tapauksissa vain fysikaalinen, ja kunkin molekyylin kemiallista stabiilisuutta arvioidaan harvoin. Näiden seosten arviointia tutkittiin mahdollisuuden antaa Y-kohta potilaalle. Näitä tietoja ei voida käyttää seosten valmistamiseen etukäteen pusseissa tai ruiskuissa. Tämäntyyppiset tiedot ovat saatavilla "Stabiilisuus seoksessa" -näytössä.
Yhdiste Liuotin Viitteet
Yhteensopiva
Injektioneste Sugammadex 100 mg/ml
Injektioneste Aminophylline 24 mg/ml
Ei mikään 3372
Välittömät sateet yhteensopimaton
Injektioneste Sugammadex 100 mg/ml
Injektioneste Amiodarone hydrochloride 50 mg/ml
Ei mikään 3372
Yhteensopiva
Injektioneste Sugammadex 100 mg/ml
Injektioneste Ampicillin sodium - sulbactam sodium 200 mg/ml
Ei mikään 3372
Yhteensopiva
Injektioneste Sugammadex 100 mg/ml
Injektioneste Atropine sulfate 1 mg/ml
Ei mikään 3372
Yhteensopiva
Injektioneste Sugammadex 100 mg/ml
Injektioneste Bupivacaine hydrochloride 5 mg/ml
Ei mikään 3372
Yhteensopiva
Injektioneste Sugammadex 100 mg/ml
Injektioneste Cefazolin sodium 250 mg/ml
Ei mikään 3372
Yhteensopiva
Injektioneste Sugammadex 100 mg/ml
Injektioneste Dexmedetomidine 100 µg/ml
Ei mikään 3372
Välittömät sateet yhteensopimaton
Injektioneste Sugammadex 100 mg/ml
Injektioneste Dobutamine hydrochloride 12.5 mg/ml
Ei mikään 3372
Yhteensopiva
Injektioneste Sugammadex 100 mg/ml
Injektioneste Dopamine hydrochloride 8 mg/ml
Ei mikään 3372
Yhteensopiva
Injektioneste Sugammadex 100 mg/ml
Injektioneste Ephedrine hydrochloride 50 mg/ml
Ei mikään 3372
Yhteensopiva
Injektioneste Sugammadex 100 mg/ml
Injektioneste Epinephrine hydrochloride 1000 µg/ml
Ei mikään 3372
Yhteensopiva
Injektioneste Sugammadex 100 mg/ml
Injektioneste Esomeprazole sodium 40 mg/ml
Ei mikään 3372
Yhteensopiva
Injektioneste Sugammadex 100 mg/ml
Injektioneste Etomidate 2 mg/ml
Ei mikään 3372
Yhteensopiva
Injektioneste Sugammadex 100 mg/ml
Injektioneste Fentanyl citrate 50 µg/ml
Ei mikään 3372
Yhteensopiva
Injektioneste Sugammadex 100 mg/ml
Injektioneste Flumazenil 0.1 mg/ml
Ei mikään 3372
Yhteensopiva
Injektioneste Sugammadex 100 mg/ml
Injektioneste Furosemide 10 mg/ml
Ei mikään 3372
Yhteensopiva
Injektioneste Sugammadex 100 mg/ml
Injektioneste Gentamicin sulfate 40 mg/ml
Ei mikään 3372
Yhteensopiva
Injektioneste Sugammadex 100 mg/ml
Injektioneste Heparin sodium 1000 UI/ml
Ei mikään 3372
Yhteensopiva
Injektioneste Sugammadex 100 mg/ml
Injektioneste Hydrocortisone sodium succinate 250 mg/ml
Ei mikään 3372
Yhteensopiva
Injektioneste Sugammadex 100 mg/ml
Injektioneste Insulin 100 UI/ml
Ei mikään 3372
Yhteensopiva
Injektioneste Sugammadex 100 mg/ml
Injektioneste Ketamine hydrochloride 50 mg/ml
Ei mikään 3372
Yhteensopiva
Injektioneste Sugammadex 100 mg/ml
Injektioneste Levobupivacaine hydrochloride 7.5 mg/ml
Ei mikään 3372
Yhteensopiva
Injektioneste Sugammadex 100 mg/ml
Injektioneste Magnesium sulfate 72.24 mg/ml
Ei mikään 3372
Yhteensopiva
Injektioneste Sugammadex 100 mg/ml
Injektioneste Metamizol sodium 500 mg/ml
Ei mikään 3372
Yhteensopiva
Injektioneste Sugammadex 100 mg/ml
Injektioneste Metoclopramide hydrochloride 5 mg/ml
Ei mikään 3372
Yhteensopiva
Injektioneste Sugammadex 100 mg/ml
Injektioneste Metoprolol tartrate 1 mg/ml
Ei mikään 3372
Yhteensopiva
Injektioneste Sugammadex 100 mg/ml
Injektioneste Midazolam hydrochloride 5 mg/ml
Ei mikään 3372
Yhteensopiva
Injektioneste Sugammadex 100 mg/ml
Injektioneste N-acetylcysteine 100 mg/ml
Ei mikään 3372
Yhteensopiva
Injektioneste Sugammadex 100 mg/ml
Injektioneste Naloxone hydrochloride 0.4 mg/ml
Ei mikään 3372
Yhteensopiva
Injektioneste Sugammadex 100 mg/ml
Injektioneste Neostigmine methylsulfate 0.5 mg/ml
Ei mikään 3372
Yhteensopiva
Injektioneste Sugammadex 100 mg/ml
Injektioneste Nitroglycerin 5 mg/ml
Ei mikään 3372
Yhteensopiva
Injektioneste Sugammadex 100 mg/ml
Injektioneste Nitroprusside sodium 12 mg/ml
Ei mikään 3372
Yhteensopiva
Injektioneste Sugammadex 100 mg/ml
Injektioneste Norepinephrine bitartrate 1 mg/ml
Ei mikään 3372
Määrittelemätön yhteensopimattomuus yhteensopimaton
Injektioneste Sugammadex
Injektioneste Ondansetron hydrochloride
2328
Yhteensopiva
Injektioneste Sugammadex 100 mg/ml
Injektioneste Ornidazole 166.67 mg/ml
Ei mikään 3372
Yhteensopiva
Injektioneste Sugammadex 100 mg/ml
Injektioneste Oxytocin 5 UI/ml
Ei mikään 3372
Yhteensopiva
Injektioneste Sugammadex 100 mg/ml
Injektioneste Paracetamol 10 mg/ml
Ei mikään 3372
Yhteensopiva
Injektioneste Sugammadex 100 mg/ml
Injektioneste Pethidine hydrochloride 50 mg/ml
Ei mikään 3372
Yhteensopiva
Injektioneste Sugammadex 100 mg/ml
Injektioneste Phenytoin sodium 50 mg/ml
Ei mikään 3372
Yhteensopiva
Injektioneste Sugammadex 100 mg/ml
Injektioneste Phytomenadione 10 mg/ml
Ei mikään 3372
Välittömät sateet yhteensopimaton
Injektioneste Sugammadex 100 mg/ml
Injektioneste Protamine hydrochloride 1000 UI/ml
Ei mikään 3372
Yhteensopiva
Injektioneste Sugammadex
NaCl 0,45% Glukoosi2,5% 2328
Yhteensopiva
Injektioneste Sugammadex
Ringerlaktaattiliuos 2328
Yhteensopiva
Injektioneste Sugammadex 100 mg/ml
Injektioneste Thiopental sodium 25 mg/ml
Ei mikään 3372
Yhteensopiva
Injektioneste Sugammadex
Glukoosi 5% 2328
Yhteensopiva
Injektioneste Sugammadex
Natriumkloridi 0,9% 2328
Yhteensopiva
Injektioneste Sugammadex 100 mg/ml
Injektioneste Propafenone hydrochloride 3.5 mg/ml
Ei mikään 3372
Määrittelemätön yhteensopimattomuus yhteensopimaton
Injektioneste Sugammadex
Injektioneste Ranitidine hydrochloride
2328
Yhteensopiva
Injektioneste Sugammadex 100 mg/ml
Injektioneste Remifentanil hydrochloride 5000 µg/ml
Ei mikään 3372
Yhteensopiva
Injektioneste Sugammadex 100 mg/ml
Injektioneste Tenoxicam 10 mg/ml
Ei mikään 3372
Yhteensopiva
Injektioneste Sugammadex 100 mg/ml
Injektioneste Theophylline 24 mg/ml
Ei mikään 3372
Yhteensopiva
Injektioneste Sugammadex 100 mg/ml
Injektioneste Tramadol hydrochloride 50 mg/ml
Ei mikään 3372
Määrittelemätön yhteensopimattomuus yhteensopimaton
Injektioneste Sugammadex
Injektioneste Verapamil hydrochloride
2328

  Mentions Légales