最新更新 :
25/03/2026
解毒药   Sugammadex  
注射液
溶液稳定性 混合物稳定性 影响稳定性的因素 兼容性 用药途径 引用文献 PDF
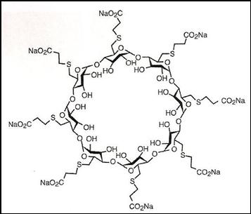
   化学式  

商品名   商品名     

商品名仅供参考, 药品所用的辅料可能依国家或厂商不同有所不同。

Bridion 丹麦, 冰岛, 匈牙利, 卢森堡, 厄瓜多尔, 哥伦比亚, 土耳其, 墨西哥, 巴西, 德国, 意大利, 挪威, 新西蘭, 日本, 智利, 比利时, 法国, 澳大利亚, 爱尔兰, 瑞士, 秘鲁, 罗马尼亚, 英国, 葡萄牙, 西班牙, 阿根廷, 马来西亚
Desintunev 墨西哥
Sagomyl 智利
Sugadion 智利
Sugamastar 秘鲁
Sugammadex 匈牙利, 意大利, 智利, 比利时, 爱尔兰, 芬兰, 西班牙
Suvitali 墨西哥
兼容性   注射液   兼容性 : Sugammadex              
This screen indicates the compatibilities or incompatibilities with, in this case, the type of incompatibility (precipitation, color change, modification of an emulsion, etc.). The compatibilities shown here are mostly physical only, with the chemical stability of each molecule rarely being assessed. The evaluation of these mixtures was studied to consider the possibility of Y-site administration to the patient. These data cannot be used for making mixtures in advance in bags or syringes. This type of information is available in the screen "Stability in mixture ».
分子 溶剂 引用文献
兼容
注射液 Sugammadex 100 mg/ml
注射液 Aminophylline 24 mg/ml
无 3372
立即沉澱 不相容
注射液 Sugammadex 100 mg/ml
注射液 Amiodarone hydrochloride 50 mg/ml
无 3372
兼容
注射液 Sugammadex 100 mg/ml
注射液 Ampicillin sodium - sulbactam sodium 200 mg/ml
无 3372
兼容
注射液 Sugammadex 100 mg/ml
注射液 Atropine sulfate 1 mg/ml
无 3372
兼容
注射液 Sugammadex 100 mg/ml
注射液 Bupivacaine hydrochloride 5 mg/ml
无 3372
兼容
注射液 Sugammadex 100 mg/ml
注射液 Cefazolin sodium 250 mg/ml
无 3372
兼容
注射液 Sugammadex 100 mg/ml
注射液 Dexmedetomidine 100 µg/ml
无 3372
立即沉澱 不相容
注射液 Sugammadex 100 mg/ml
注射液 Dobutamine hydrochloride 12.5 mg/ml
无 3372
兼容
注射液 Sugammadex 100 mg/ml
注射液 Dopamine hydrochloride 8 mg/ml
无 3372
兼容
注射液 Sugammadex 100 mg/ml
注射液 Ephedrine hydrochloride 50 mg/ml
无 3372
兼容
注射液 Sugammadex 100 mg/ml
注射液 Epinephrine hydrochloride 1000 µg/ml
无 3372
兼容
注射液 Sugammadex 100 mg/ml
注射液 Esomeprazole sodium 40 mg/ml
无 3372
兼容
注射液 Sugammadex 100 mg/ml
注射液 Etomidate 2 mg/ml
无 3372
兼容
注射液 Sugammadex 100 mg/ml
注射液 Fentanyl citrate 50 µg/ml
无 3372
兼容
注射液 Sugammadex 100 mg/ml
注射液 Flumazenil 0.1 mg/ml
无 3372
兼容
注射液 Sugammadex 100 mg/ml
注射液 Furosemide 10 mg/ml
无 3372
兼容
注射液 Sugammadex 100 mg/ml
注射液 Gentamicin sulfate 40 mg/ml
无 3372
兼容
注射液 Sugammadex 100 mg/ml
注射液 Heparin sodium 1000 UI/ml
无 3372
兼容
注射液 Sugammadex 100 mg/ml
注射液 Hydrocortisone sodium succinate 250 mg/ml
无 3372
兼容
注射液 Sugammadex 100 mg/ml
注射液 Insulin 100 UI/ml
无 3372
兼容
注射液 Sugammadex 100 mg/ml
注射液 Ketamine hydrochloride 50 mg/ml
无 3372
兼容
注射液 Sugammadex 100 mg/ml
注射液 Levobupivacaine hydrochloride 7.5 mg/ml
无 3372
兼容
注射液 Sugammadex 100 mg/ml
注射液 Magnesium sulfate 72.24 mg/ml
无 3372
兼容
注射液 Sugammadex 100 mg/ml
注射液 Metamizol sodium 500 mg/ml
无 3372
兼容
注射液 Sugammadex 100 mg/ml
注射液 Metoclopramide hydrochloride 5 mg/ml
无 3372
兼容
注射液 Sugammadex 100 mg/ml
注射液 Metoprolol tartrate 1 mg/ml
无 3372
兼容
注射液 Sugammadex 100 mg/ml
注射液 Midazolam hydrochloride 5 mg/ml
无 3372
兼容
注射液 Sugammadex 100 mg/ml
注射液 N-acetylcysteine 100 mg/ml
无 3372
兼容
注射液 Sugammadex 100 mg/ml
注射液 Naloxone hydrochloride 0.4 mg/ml
无 3372
兼容
注射液 Sugammadex 100 mg/ml
注射液 Neostigmine methylsulfate 0.5 mg/ml
无 3372
兼容
注射液 Sugammadex 100 mg/ml
注射液 Nitroglycerin 5 mg/ml
无 3372
兼容
注射液 Sugammadex 100 mg/ml
注射液 Nitroprusside sodium 12 mg/ml
无 3372
兼容
注射液 Sugammadex 100 mg/ml
注射液 Norepinephrine bitartrate 1 mg/ml
无 3372
未指定的不兼容性 不相容
注射液 Sugammadex
注射液 Ondansetron hydrochloride
2328
兼容
注射液 Sugammadex 100 mg/ml
注射液 Ornidazole 166.67 mg/ml
无 3372
兼容
注射液 Sugammadex 100 mg/ml
注射液 Oxytocin 5 UI/ml
无 3372
兼容
注射液 Sugammadex 100 mg/ml
注射液 Paracetamol 10 mg/ml
无 3372
兼容
注射液 Sugammadex 100 mg/ml
注射液 Pethidine hydrochloride 50 mg/ml
无 3372
兼容
注射液 Sugammadex 100 mg/ml
注射液 Phenytoin sodium 50 mg/ml
无 3372
兼容
注射液 Sugammadex 100 mg/ml
注射液 Phytomenadione 10 mg/ml
无 3372
立即沉澱 不相容
注射液 Sugammadex 100 mg/ml
注射液 Protamine hydrochloride 1000 UI/ml
无 3372
兼容
注射液 Sugammadex
NaCl 0,45% 葡萄糖 2,5% 2328
兼容
注射液 Sugammadex
Ringer乳酸溶液 2328
兼容
注射液 Sugammadex 100 mg/ml
注射液 Thiopental sodium 25 mg/ml
无 3372
兼容
注射液 Sugammadex
葡萄糖5% 2328
兼容
注射液 Sugammadex
NaCl 0,9% 2328
兼容
注射液 Sugammadex 100 mg/ml
注射液 Propafenone hydrochloride 3.5 mg/ml
无 3372
未指定的不兼容性 不相容
注射液 Sugammadex
注射液 Ranitidine hydrochloride
2328
兼容
注射液 Sugammadex 100 mg/ml
注射液 Remifentanil hydrochloride 5000 µg/ml
无 3372
兼容
注射液 Sugammadex 100 mg/ml
注射液 Tenoxicam 10 mg/ml
无 3372
兼容
注射液 Sugammadex 100 mg/ml
注射液 Theophylline 24 mg/ml
无 3372
兼容
注射液 Sugammadex 100 mg/ml
注射液 Tramadol hydrochloride 50 mg/ml
无 3372
未指定的不兼容性 不相容
注射液 Sugammadex
注射液 Verapamil hydrochloride
2328

  Mentions Légales