Останнє оновлення :
27/02/2026
Протиотрута   Sugammadex  
ін'єкція
Стійкість в розчинах Стійкість сумішей Фактори, що впливають на стабільність Сумісність Шлях введення Список літератури pdf
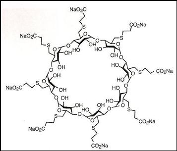
   Хімічна структура  

Торгова назва   Торгова назва     

Торгові назви є орієнтовними, а склад допоміжних речовин може бути різним залежно від країни та виробника

Bridion Ірландія, Ісландія, Іспанія, Італія, Австралія, Аргентина, Бельгія, Бразилія, Великобританія, Данія, Еквадор, Колумбія, Люксембург, Малайзія, Мексика, Німеччина, Нова Зеландія, Норвегія, Перу, Португалія, Румунія, Туреччина, Угорщина, Франція, Чилі, Швейцарія, Японія
Desintunev Мексика
Sagomyl Чилі
Sugadion Чилі
Sugamastar Перу
Sugammadex Ірландія, Іспанія, Італія, Бельгія, Угорщина, Фінляндія, Чилі
Suvitali Мексика
Сумісність   ін'єкція   Сумісність : Sugammadex              
explication_incompatibilite_molecules
З'єднання Розчинник Список літератури
сумісний
ін'єкція Sugammadex 100 mg/ml
ін'єкція Aminophylline 24 mg/ml
Жодного 3372
Миттєві опади Несумісні
ін'єкція Sugammadex 100 mg/ml
ін'єкція Amiodarone hydrochloride 50 mg/ml
Жодного 3372
сумісний
ін'єкція Sugammadex 100 mg/ml
ін'єкція Ampicillin sodium - sulbactam sodium 200 mg/ml
Жодного 3372
сумісний
ін'єкція Sugammadex 100 mg/ml
ін'єкція Atropine sulfate 1 mg/ml
Жодного 3372
сумісний
ін'єкція Sugammadex 100 mg/ml
ін'єкція Bupivacaine hydrochloride 5 mg/ml
Жодного 3372
сумісний
ін'єкція Sugammadex 100 mg/ml
ін'єкція Cefazolin sodium 250 mg/ml
Жодного 3372
сумісний
ін'єкція Sugammadex 100 mg/ml
ін'єкція Dexmedetomidine 100 µg/ml
Жодного 3372
Миттєві опади Несумісні
ін'єкція Sugammadex 100 mg/ml
ін'єкція Dobutamine hydrochloride 12.5 mg/ml
Жодного 3372
сумісний
ін'єкція Sugammadex 100 mg/ml
ін'єкція Dopamine hydrochloride 8 mg/ml
Жодного 3372
сумісний
ін'єкція Sugammadex 100 mg/ml
ін'єкція Ephedrine hydrochloride 50 mg/ml
Жодного 3372
сумісний
ін'єкція Sugammadex 100 mg/ml
ін'єкція Epinephrine hydrochloride 1000 µg/ml
Жодного 3372
сумісний
ін'єкція Sugammadex 100 mg/ml
ін'єкція Esomeprazole sodium 40 mg/ml
Жодного 3372
сумісний
ін'єкція Sugammadex 100 mg/ml
ін'єкція Etomidate 2 mg/ml
Жодного 3372
сумісний
ін'єкція Sugammadex 100 mg/ml
ін'єкція Fentanyl citrate 50 µg/ml
Жодного 3372
сумісний
ін'єкція Sugammadex 100 mg/ml
ін'єкція Flumazenil 0.1 mg/ml
Жодного 3372
сумісний
ін'єкція Sugammadex 100 mg/ml
ін'єкція Furosemide 10 mg/ml
Жодного 3372
сумісний
ін'єкція Sugammadex 100 mg/ml
ін'єкція Gentamicin sulfate 40 mg/ml
Жодного 3372
сумісний
ін'єкція Sugammadex 100 mg/ml
ін'єкція Heparin sodium 1000 UI/ml
Жодного 3372
сумісний
ін'єкція Sugammadex 100 mg/ml
ін'єкція Hydrocortisone sodium succinate 250 mg/ml
Жодного 3372
сумісний
ін'єкція Sugammadex 100 mg/ml
ін'єкція Insulin 100 UI/ml
Жодного 3372
сумісний
ін'єкція Sugammadex 100 mg/ml
ін'єкція Ketamine hydrochloride 50 mg/ml
Жодного 3372
сумісний
ін'єкція Sugammadex 100 mg/ml
ін'єкція Levobupivacaine hydrochloride 7.5 mg/ml
Жодного 3372
сумісний
ін'єкція Sugammadex 100 mg/ml
ін'єкція Magnesium sulfate 72.24 mg/ml
Жодного 3372
сумісний
ін'єкція Sugammadex 100 mg/ml
ін'єкція Metamizol sodium 500 mg/ml
Жодного 3372
сумісний
ін'єкція Sugammadex 100 mg/ml
ін'єкція Metoclopramide hydrochloride 5 mg/ml
Жодного 3372
сумісний
ін'єкція Sugammadex 100 mg/ml
ін'єкція Metoprolol tartrate 1 mg/ml
Жодного 3372
сумісний
ін'єкція Sugammadex 100 mg/ml
ін'єкція Midazolam hydrochloride 5 mg/ml
Жодного 3372
сумісний
ін'єкція Sugammadex 100 mg/ml
ін'єкція N-acetylcysteine 100 mg/ml
Жодного 3372
сумісний
ін'єкція Sugammadex 100 mg/ml
ін'єкція Naloxone hydrochloride 0.4 mg/ml
Жодного 3372
сумісний
ін'єкція Sugammadex 100 mg/ml
ін'єкція Neostigmine methylsulfate 0.5 mg/ml
Жодного 3372
сумісний
ін'єкція Sugammadex 100 mg/ml
ін'єкція Nitroglycerin 5 mg/ml
Жодного 3372
сумісний
ін'єкція Sugammadex 100 mg/ml
ін'єкція Nitroprusside sodium 12 mg/ml
Жодного 3372
сумісний
ін'єкція Sugammadex 100 mg/ml
ін'єкція Norepinephrine bitartrate 1 mg/ml
Жодного 3372
Неуточнена несумісність Несумісні
ін'єкція Sugammadex
ін'єкція Ondansetron hydrochloride
2328
сумісний
ін'єкція Sugammadex 100 mg/ml
ін'єкція Ornidazole 166.67 mg/ml
Жодного 3372
сумісний
ін'єкція Sugammadex 100 mg/ml
ін'єкція Oxytocin 5 UI/ml
Жодного 3372
сумісний
ін'єкція Sugammadex 100 mg/ml
ін'єкція Paracetamol 10 mg/ml
Жодного 3372
сумісний
ін'єкція Sugammadex 100 mg/ml
ін'єкція Pethidine hydrochloride 50 mg/ml
Жодного 3372
сумісний
ін'єкція Sugammadex 100 mg/ml
ін'єкція Phenytoin sodium 50 mg/ml
Жодного 3372
сумісний
ін'єкція Sugammadex 100 mg/ml
ін'єкція Phytomenadione 10 mg/ml
Жодного 3372
Миттєві опади Несумісні
ін'єкція Sugammadex 100 mg/ml
ін'єкція Protamine hydrochloride 1000 UI/ml
Жодного 3372
сумісний
ін'єкція Sugammadex
NaCl 0,45% Глюкоза 2,5% 2328
сумісний
ін'єкція Sugammadex
Розчин лактату Рінгера 2328
сумісний
ін'єкція Sugammadex 100 mg/ml
ін'єкція Thiopental sodium 25 mg/ml
Жодного 3372
сумісний
ін'єкція Sugammadex
Глюкоза 5% 2328
сумісний
ін'єкція Sugammadex
Натрію хлорид 0,9% 2328
сумісний
ін'єкція Sugammadex 100 mg/ml
ін'єкція Propafenone hydrochloride 3.5 mg/ml
Жодного 3372
Неуточнена несумісність Несумісні
ін'єкція Sugammadex
ін'єкція Ranitidine hydrochloride
2328
сумісний
ін'єкція Sugammadex 100 mg/ml
ін'єкція Remifentanil hydrochloride 5000 µg/ml
Жодного 3372
сумісний
ін'єкція Sugammadex 100 mg/ml
ін'єкція Tenoxicam 10 mg/ml
Жодного 3372
сумісний
ін'єкція Sugammadex 100 mg/ml
ін'єкція Theophylline 24 mg/ml
Жодного 3372
сумісний
ін'єкція Sugammadex 100 mg/ml
ін'єкція Tramadol hydrochloride 50 mg/ml
Жодного 3372
Неуточнена несумісність Несумісні
ін'єкція Sugammadex
ін'єкція Verapamil hydrochloride
2328

  Mentions Légales