最新更新 :
25/03/2026
解毒薬   Sugammadex  
注射薬
溶媒内の安定性 混合時の安定性 安定性に影響する因子 互換性 投与経路 引用文献 PDF
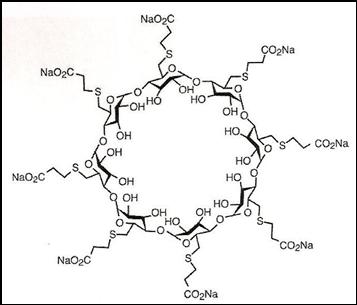
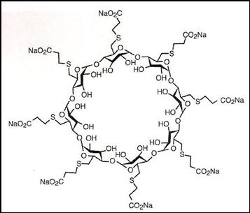
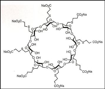
   化学構造  

商品名   商品名     

商品名、賦形剤は国、製薬会社ごとに異なることがあります

Bridion アイスランド, アイルランド, アルゼンチン, アーストラリア, イギリス, イタリア, エクアドル, コロンビア, スイス, スペイン, チリ, デンマーク, トルコ, ドイツ, ニュージーランド, ノルウェー, ハンガリー, フランス, ブラジル, ベルギー, ペルー, ポルトガル, マレーシア, メキシコ, ルクセンブルグ, ルーマニア, 日本
Desintunev メキシコ
Sagomyl チリ
Sugadion チリ
Sugamastar ペルー
Sugammadex アイルランド, イタリア, スペイン, チリ, ハンガリー, フィンランド, ベルギー
Suvitali メキシコ
互換性   注射薬   互換性 : Sugammadex              
This screen indicates the compatibilities or incompatibilities with, in this case, the type of incompatibility (precipitation, color change, modification of an emulsion, etc.). The compatibilities shown here are mostly physical only, with the chemical stability of each molecule rarely being assessed. The evaluation of these mixtures was studied to consider the possibility of Y-site administration to the patient. These data cannot be used for making mixtures in advance in bags or syringes. This type of information is available in the screen "Stability in mixture ».
化合物 溶媒 引用文献
対応
注射薬 Sugammadex 100 mg/ml
注射薬 Aminophylline 24 mg/ml
なし 3372
即時降水 非互換
注射薬 Sugammadex 100 mg/ml
注射薬 Amiodarone hydrochloride 50 mg/ml
なし 3372
対応
注射薬 Sugammadex 100 mg/ml
注射薬 Ampicillin sodium - sulbactam sodium 200 mg/ml
なし 3372
対応
注射薬 Sugammadex 100 mg/ml
注射薬 Atropine sulfate 1 mg/ml
なし 3372
対応
注射薬 Sugammadex 100 mg/ml
注射薬 Bupivacaine hydrochloride 5 mg/ml
なし 3372
対応
注射薬 Sugammadex 100 mg/ml
注射薬 Cefazolin sodium 250 mg/ml
なし 3372
対応
注射薬 Sugammadex 100 mg/ml
注射薬 Dexmedetomidine 100 µg/ml
なし 3372
即時降水 非互換
注射薬 Sugammadex 100 mg/ml
注射薬 Dobutamine hydrochloride 12.5 mg/ml
なし 3372
対応
注射薬 Sugammadex 100 mg/ml
注射薬 Dopamine hydrochloride 8 mg/ml
なし 3372
対応
注射薬 Sugammadex 100 mg/ml
注射薬 Ephedrine hydrochloride 50 mg/ml
なし 3372
対応
注射薬 Sugammadex 100 mg/ml
注射薬 Epinephrine hydrochloride 1000 µg/ml
なし 3372
対応
注射薬 Sugammadex 100 mg/ml
注射薬 Esomeprazole sodium 40 mg/ml
なし 3372
対応
注射薬 Sugammadex 100 mg/ml
注射薬 Etomidate 2 mg/ml
なし 3372
対応
注射薬 Sugammadex 100 mg/ml
注射薬 Fentanyl citrate 50 µg/ml
なし 3372
対応
注射薬 Sugammadex 100 mg/ml
注射薬 Flumazenil 0.1 mg/ml
なし 3372
対応
注射薬 Sugammadex 100 mg/ml
注射薬 Furosemide 10 mg/ml
なし 3372
対応
注射薬 Sugammadex 100 mg/ml
注射薬 Gentamicin sulfate 40 mg/ml
なし 3372
対応
注射薬 Sugammadex 100 mg/ml
注射薬 Heparin sodium 1000 UI/ml
なし 3372
対応
注射薬 Sugammadex 100 mg/ml
注射薬 Hydrocortisone sodium succinate 250 mg/ml
なし 3372
対応
注射薬 Sugammadex 100 mg/ml
注射薬 Insulin 100 UI/ml
なし 3372
対応
注射薬 Sugammadex 100 mg/ml
注射薬 Ketamine hydrochloride 50 mg/ml
なし 3372
対応
注射薬 Sugammadex 100 mg/ml
注射薬 Levobupivacaine hydrochloride 7.5 mg/ml
なし 3372
対応
注射薬 Sugammadex 100 mg/ml
注射薬 Magnesium sulfate 72.24 mg/ml
なし 3372
対応
注射薬 Sugammadex 100 mg/ml
注射薬 Metamizol sodium 500 mg/ml
なし 3372
対応
注射薬 Sugammadex 100 mg/ml
注射薬 Metoclopramide hydrochloride 5 mg/ml
なし 3372
対応
注射薬 Sugammadex 100 mg/ml
注射薬 Metoprolol tartrate 1 mg/ml
なし 3372
対応
注射薬 Sugammadex 100 mg/ml
注射薬 Midazolam hydrochloride 5 mg/ml
なし 3372
対応
注射薬 Sugammadex 100 mg/ml
注射薬 N-acetylcysteine 100 mg/ml
なし 3372
対応
注射薬 Sugammadex 100 mg/ml
注射薬 Naloxone hydrochloride 0.4 mg/ml
なし 3372
対応
注射薬 Sugammadex 100 mg/ml
注射薬 Neostigmine methylsulfate 0.5 mg/ml
なし 3372
対応
注射薬 Sugammadex 100 mg/ml
注射薬 Nitroglycerin 5 mg/ml
なし 3372
対応
注射薬 Sugammadex 100 mg/ml
注射薬 Nitroprusside sodium 12 mg/ml
なし 3372
対応
注射薬 Sugammadex 100 mg/ml
注射薬 Norepinephrine bitartrate 1 mg/ml
なし 3372
不特定の非互換性 非互換
注射薬 Sugammadex
注射薬 Ondansetron hydrochloride
2328
対応
注射薬 Sugammadex 100 mg/ml
注射薬 Ornidazole 166.67 mg/ml
なし 3372
対応
注射薬 Sugammadex 100 mg/ml
注射薬 Oxytocin 5 UI/ml
なし 3372
対応
注射薬 Sugammadex 100 mg/ml
注射薬 Paracetamol 10 mg/ml
なし 3372
対応
注射薬 Sugammadex 100 mg/ml
注射薬 Pethidine hydrochloride 50 mg/ml
なし 3372
対応
注射薬 Sugammadex 100 mg/ml
注射薬 Phenytoin sodium 50 mg/ml
なし 3372
対応
注射薬 Sugammadex 100 mg/ml
注射薬 Phytomenadione 10 mg/ml
なし 3372
即時降水 非互換
注射薬 Sugammadex 100 mg/ml
注射薬 Protamine hydrochloride 1000 UI/ml
なし 3372
対応
注射薬 Sugammadex
NaCl 0,45% Glucose 2,5% 2328
対応
注射薬 Sugammadex
乳酸リンゲル 2328
対応
注射薬 Sugammadex 100 mg/ml
注射薬 Thiopental sodium 25 mg/ml
なし 3372
対応
注射薬 Sugammadex
グルコース5% 2328
対応
注射薬 Sugammadex
NaCl 0,9% 2328
対応
注射薬 Sugammadex 100 mg/ml
注射薬 Propafenone hydrochloride 3.5 mg/ml
なし 3372
不特定の非互換性 非互換
注射薬 Sugammadex
注射薬 Ranitidine hydrochloride
2328
対応
注射薬 Sugammadex 100 mg/ml
注射薬 Remifentanil hydrochloride 5000 µg/ml
なし 3372
対応
注射薬 Sugammadex 100 mg/ml
注射薬 Tenoxicam 10 mg/ml
なし 3372
対応
注射薬 Sugammadex 100 mg/ml
注射薬 Theophylline 24 mg/ml
なし 3372
対応
注射薬 Sugammadex 100 mg/ml
注射薬 Tramadol hydrochloride 50 mg/ml
なし 3372
不特定の非互換性 非互換
注射薬 Sugammadex
注射薬 Verapamil hydrochloride
2328

  Mentions Légales