Siste oppdatering :
25/03/2026
Motgift   Sugammadex  
Injeksjon
Oppløsningsstabilitet Stabilitet i blandinger Faktorer som påvirker stabiliteten Kompatibilitet Administrasjonsmåte Referanser pdf
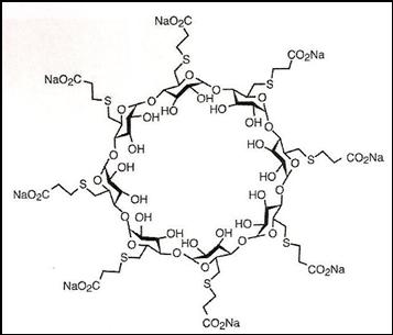
   Kjemisk struktur  

Handelsnavn   Handelsnavn     

Handelsnavn er veiledende og sammensetning av hjelpestoffer kan være forskjellig avhengig av land og produsent

Bridion Argentina, Australia, Belgia, Brasil, Chile, Colombia, Danmark, Ecuador, Frankrike, Irland, Island, Italia, Japan, Luxembourg, Malaysia, Mexico, New Zealand, Norge, Peru, Portugal, Romania, Spania, Storbritannia, Sveits, Tyrkia, Tyskland, Ungarn
Desintunev Mexico
Sagomyl Chile
Sugadion Chile
Sugamastar Peru
Sugammadex Belgia, Chile, Finland, Irland, Italia, Spania, Ungarn
Suvitali Mexico
Kompatibilitet   Injeksjon   Kompatibilitet : Sugammadex              
Dette skjermbildet viser kompatibilitet eller inkompatibilitet med, i dette tilfellet, typen inkompatibilitet (nedbør, fargeendring, modifisering av en emulsjon, etc.). Kompatibilitetene som er vist her, er for det meste bare fysiske, og den kjemiske stabiliteten til hvert molekyl blir sjelden vurdert. Evalueringen av disse blandingene ble studert for å vurdere muligheten for Y-stedadministrasjon til pasienten. Disse dataene kan ikke brukes til å lage blandinger på forhånd i poser eller sprøyter. Denne typen informasjon er tilgjengelig på skjermen "Stabilitet i blanding".
Legemiddel Oppløsningsmiddel Referanser
Kompatibel
Injeksjon Sugammadex 100 mg/ml
Injeksjon Aminophylline 24 mg/ml
Ingen 3372
Umiddelbar nedbør Uforenlig
Injeksjon Sugammadex 100 mg/ml
Injeksjon Amiodarone hydrochloride 50 mg/ml
Ingen 3372
Kompatibel
Injeksjon Sugammadex 100 mg/ml
Injeksjon Ampicillin sodium - sulbactam sodium 200 mg/ml
Ingen 3372
Kompatibel
Injeksjon Sugammadex 100 mg/ml
Injeksjon Atropine sulfate 1 mg/ml
Ingen 3372
Kompatibel
Injeksjon Sugammadex 100 mg/ml
Injeksjon Bupivacaine hydrochloride 5 mg/ml
Ingen 3372
Kompatibel
Injeksjon Sugammadex 100 mg/ml
Injeksjon Cefazolin sodium 250 mg/ml
Ingen 3372
Kompatibel
Injeksjon Sugammadex 100 mg/ml
Injeksjon Dexmedetomidine 100 µg/ml
Ingen 3372
Umiddelbar nedbør Uforenlig
Injeksjon Sugammadex 100 mg/ml
Injeksjon Dobutamine hydrochloride 12.5 mg/ml
Ingen 3372
Kompatibel
Injeksjon Sugammadex 100 mg/ml
Injeksjon Dopamine hydrochloride 8 mg/ml
Ingen 3372
Kompatibel
Injeksjon Sugammadex 100 mg/ml
Injeksjon Ephedrine hydrochloride 50 mg/ml
Ingen 3372
Kompatibel
Injeksjon Sugammadex 100 mg/ml
Injeksjon Epinephrine hydrochloride 1000 µg/ml
Ingen 3372
Kompatibel
Injeksjon Sugammadex 100 mg/ml
Injeksjon Esomeprazole sodium 40 mg/ml
Ingen 3372
Kompatibel
Injeksjon Sugammadex 100 mg/ml
Injeksjon Etomidate 2 mg/ml
Ingen 3372
Kompatibel
Injeksjon Sugammadex 100 mg/ml
Injeksjon Fentanyl citrate 50 µg/ml
Ingen 3372
Kompatibel
Injeksjon Sugammadex 100 mg/ml
Injeksjon Flumazenil 0.1 mg/ml
Ingen 3372
Kompatibel
Injeksjon Sugammadex 100 mg/ml
Injeksjon Furosemide 10 mg/ml
Ingen 3372
Kompatibel
Injeksjon Sugammadex 100 mg/ml
Injeksjon Gentamicin sulfate 40 mg/ml
Ingen 3372
Kompatibel
Injeksjon Sugammadex 100 mg/ml
Injeksjon Heparin sodium 1000 UI/ml
Ingen 3372
Kompatibel
Injeksjon Sugammadex 100 mg/ml
Injeksjon Hydrocortisone sodium succinate 250 mg/ml
Ingen 3372
Kompatibel
Injeksjon Sugammadex 100 mg/ml
Injeksjon Insulin 100 UI/ml
Ingen 3372
Kompatibel
Injeksjon Sugammadex 100 mg/ml
Injeksjon Ketamine hydrochloride 50 mg/ml
Ingen 3372
Kompatibel
Injeksjon Sugammadex 100 mg/ml
Injeksjon Levobupivacaine hydrochloride 7.5 mg/ml
Ingen 3372
Kompatibel
Injeksjon Sugammadex 100 mg/ml
Injeksjon Magnesium sulfate 72.24 mg/ml
Ingen 3372
Kompatibel
Injeksjon Sugammadex 100 mg/ml
Injeksjon Metamizol sodium 500 mg/ml
Ingen 3372
Kompatibel
Injeksjon Sugammadex 100 mg/ml
Injeksjon Metoclopramide hydrochloride 5 mg/ml
Ingen 3372
Kompatibel
Injeksjon Sugammadex 100 mg/ml
Injeksjon Metoprolol tartrate 1 mg/ml
Ingen 3372
Kompatibel
Injeksjon Sugammadex 100 mg/ml
Injeksjon Midazolam hydrochloride 5 mg/ml
Ingen 3372
Kompatibel
Injeksjon Sugammadex 100 mg/ml
Injeksjon N-acetylcysteine 100 mg/ml
Ingen 3372
Kompatibel
Injeksjon Sugammadex 100 mg/ml
Injeksjon Naloxone hydrochloride 0.4 mg/ml
Ingen 3372
Kompatibel
Injeksjon Sugammadex 100 mg/ml
Injeksjon Neostigmine methylsulfate 0.5 mg/ml
Ingen 3372
Kompatibel
Injeksjon Sugammadex 100 mg/ml
Injeksjon Nitroglycerin 5 mg/ml
Ingen 3372
Kompatibel
Injeksjon Sugammadex 100 mg/ml
Injeksjon Nitroprusside sodium 12 mg/ml
Ingen 3372
Kompatibel
Injeksjon Sugammadex 100 mg/ml
Injeksjon Norepinephrine bitartrate 1 mg/ml
Ingen 3372
Uspesifisert inkompatibilitet Uforenlig
Injeksjon Sugammadex
Injeksjon Ondansetron hydrochloride
2328
Kompatibel
Injeksjon Sugammadex 100 mg/ml
Injeksjon Ornidazole 166.67 mg/ml
Ingen 3372
Kompatibel
Injeksjon Sugammadex 100 mg/ml
Injeksjon Oxytocin 5 UI/ml
Ingen 3372
Kompatibel
Injeksjon Sugammadex 100 mg/ml
Injeksjon Paracetamol 10 mg/ml
Ingen 3372
Kompatibel
Injeksjon Sugammadex 100 mg/ml
Injeksjon Pethidine hydrochloride 50 mg/ml
Ingen 3372
Kompatibel
Injeksjon Sugammadex 100 mg/ml
Injeksjon Phenytoin sodium 50 mg/ml
Ingen 3372
Kompatibel
Injeksjon Sugammadex 100 mg/ml
Injeksjon Phytomenadione 10 mg/ml
Ingen 3372
Umiddelbar nedbør Uforenlig
Injeksjon Sugammadex 100 mg/ml
Injeksjon Protamine hydrochloride 1000 UI/ml
Ingen 3372
Kompatibel
Injeksjon Sugammadex
NaCl 0,45% Glukose 2,5% 2328
Kompatibel
Injeksjon Sugammadex
Ringers laktatoppløsning 2328
Kompatibel
Injeksjon Sugammadex 100 mg/ml
Injeksjon Thiopental sodium 25 mg/ml
Ingen 3372
Kompatibel
Injeksjon Sugammadex
Glukose 5 % 2328
Kompatibel
Injeksjon Sugammadex
Natriumklorid 0,9 % 2328
Kompatibel
Injeksjon Sugammadex 100 mg/ml
Injeksjon Propafenone hydrochloride 3.5 mg/ml
Ingen 3372
Uspesifisert inkompatibilitet Uforenlig
Injeksjon Sugammadex
Injeksjon Ranitidine hydrochloride
2328
Kompatibel
Injeksjon Sugammadex 100 mg/ml
Injeksjon Remifentanil hydrochloride 5000 µg/ml
Ingen 3372
Kompatibel
Injeksjon Sugammadex 100 mg/ml
Injeksjon Tenoxicam 10 mg/ml
Ingen 3372
Kompatibel
Injeksjon Sugammadex 100 mg/ml
Injeksjon Theophylline 24 mg/ml
Ingen 3372
Kompatibel
Injeksjon Sugammadex 100 mg/ml
Injeksjon Tramadol hydrochloride 50 mg/ml
Ingen 3372
Uspesifisert inkompatibilitet Uforenlig
Injeksjon Sugammadex
Injeksjon Verapamil hydrochloride
2328

  Mentions Légales