Última actualização :
27/11/2025
antídoto   Sugammadex  
injetável
Estabilidade em soluções simples Estabilidade em misturas Factores que afectam a sua estabilidade Compatibilidade Método de administração Bibliografía pdf
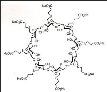
   estrutura química  

Nomes comerciais nos diversos países   Nomes comerciais nos diversos países     

OS NOMES COMERCIAIS SÃO INDICATIVOS E OS EXCIPIENTES DA FORMULAÇÃO PODEM SER DIFERENTES CONFORME O PAÍS E FABRICANTE.

Bridion Alemanha, Argentina, Australia, Bélgica, Brasil, Chilli, Colômbia, Dinamarca, Equator, Espanha, França, Gran-bretanha, Hungria, Irlanda, Islandia, Itália, Japón, Luxemburgo, Malásia, México, Noruega, nova Zelândia, Peru, Portugal, Romènia, Suicia, Turquia
Desintunev México
Sagomyl Chilli
Sugadion Chilli
Sugamastar Peru
Sugammadex Bélgica, Chilli, Espanha, Finlandia, Hungria, Irlanda, Itália
Suvitali México
Compatibilidade   injetável   Compatibilidade : Sugammadex              
Este ecrã indica as compatibilidades ou incompatibilidades com, neste caso, o tipo de incompatibilidade (precipitação, mudança de cor, modificação de uma emulsão, etc.). As compatibilidades mostradas aqui são principalmente físicas, com a estabilidade química de cada molécula raramente sendo avaliada. A avaliação dessas misturas foi estudada para considerar a possibilidade de administração do local Y ao paciente. Estes dados não podem ser usados para fazer misturas antecipadamente em sacos ou seringas. Este tipo de informação está disponível na tela “Estabilidade na mistura».
molécula Solvente Bibliografia
Compatível
injetável Sugammadex 100 mg/ml
injetável Aminophylline 24 mg/ml
nenhum 3372
Precipitação imediata Incompatível
injetável Sugammadex 100 mg/ml
injetável Amiodarone hydrochloride 50 mg/ml
nenhum 3372
Compatível
injetável Sugammadex 100 mg/ml
injetável Ampicillin sodium - sulbactam sodium 200 mg/ml
nenhum 3372
Compatível
injetável Sugammadex 100 mg/ml
injetável Atropine sulfate 1 mg/ml
nenhum 3372
Compatível
injetável Sugammadex 100 mg/ml
injetável Bupivacaine hydrochloride 5 mg/ml
nenhum 3372
Compatível
injetável Sugammadex 100 mg/ml
injetável Cefazolin sodium 250 mg/ml
nenhum 3372
Compatível
injetável Sugammadex 100 mg/ml
injetável Dexmedetomidine 100 µg/ml
nenhum 3372
Precipitação imediata Incompatível
injetável Sugammadex 100 mg/ml
injetável Dobutamine hydrochloride 12.5 mg/ml
nenhum 3372
Compatível
injetável Sugammadex 100 mg/ml
injetável Dopamine hydrochloride 8 mg/ml
nenhum 3372
Compatível
injetável Sugammadex 100 mg/ml
injetável Ephedrine hydrochloride 50 mg/ml
nenhum 3372
Compatível
injetável Sugammadex 100 mg/ml
injetável Epinephrine hydrochloride 1000 µg/ml
nenhum 3372
Compatível
injetável Sugammadex 100 mg/ml
injetável Esomeprazole sodium 40 mg/ml
nenhum 3372
Compatível
injetável Sugammadex 100 mg/ml
injetável Etomidate 2 mg/ml
nenhum 3372
Compatível
injetável Sugammadex 100 mg/ml
injetável Fentanyl citrate 50 µg/ml
nenhum 3372
Compatível
injetável Sugammadex 100 mg/ml
injetável Flumazenil 0.1 mg/ml
nenhum 3372
Compatível
injetável Sugammadex 100 mg/ml
injetável Furosemide 10 mg/ml
nenhum 3372
Compatível
injetável Sugammadex 100 mg/ml
injetável Gentamicin sulfate 40 mg/ml
nenhum 3372
Compatível
injetável Sugammadex 100 mg/ml
injetável Heparin sodium 1000 UI/ml
nenhum 3372
Compatível
injetável Sugammadex 100 mg/ml
injetável Hydrocortisone sodium succinate 250 mg/ml
nenhum 3372
Compatível
injetável Sugammadex 100 mg/ml
injetável Insulin 100 UI/ml
nenhum 3372
Compatível
injetável Sugammadex 100 mg/ml
injetável Ketamine hydrochloride 50 mg/ml
nenhum 3372
Compatível
injetável Sugammadex 100 mg/ml
injetável Levobupivacaine hydrochloride 7.5 mg/ml
nenhum 3372
Compatível
injetável Sugammadex 100 mg/ml
injetável Magnesium sulfate 72.24 mg/ml
nenhum 3372
Compatível
injetável Sugammadex 100 mg/ml
injetável Metamizol sodium 500 mg/ml
nenhum 3372
Compatível
injetável Sugammadex 100 mg/ml
injetável Metoclopramide hydrochloride 5 mg/ml
nenhum 3372
Compatível
injetável Sugammadex 100 mg/ml
injetável Metoprolol tartrate 1 mg/ml
nenhum 3372
Compatível
injetável Sugammadex 100 mg/ml
injetável Midazolam hydrochloride 5 mg/ml
nenhum 3372
Compatível
injetável Sugammadex 100 mg/ml
injetável N-acetylcysteine 100 mg/ml
nenhum 3372
Compatível
injetável Sugammadex 100 mg/ml
injetável Naloxone hydrochloride 0.4 mg/ml
nenhum 3372
Compatível
injetável Sugammadex 100 mg/ml
injetável Neostigmine methylsulfate 0.5 mg/ml
nenhum 3372
Compatível
injetável Sugammadex 100 mg/ml
injetável Nitroglycerin 5 mg/ml
nenhum 3372
Compatível
injetável Sugammadex 100 mg/ml
injetável Nitroprusside sodium 12 mg/ml
nenhum 3372
Compatível
injetável Sugammadex 100 mg/ml
injetável Norepinephrine bitartrate 1 mg/ml
nenhum 3372
Incompatibilidade não especificada Incompatível
injetável Sugammadex
injetável Ondansetron hydrochloride
2328
Compatível
injetável Sugammadex 100 mg/ml
injetável Ornidazole 166.67 mg/ml
nenhum 3372
Compatível
injetável Sugammadex 100 mg/ml
injetável Oxytocin 5 UI/ml
nenhum 3372
Compatível
injetável Sugammadex 100 mg/ml
injetável Paracetamol 10 mg/ml
nenhum 3372
Compatível
injetável Sugammadex 100 mg/ml
injetável Pethidine hydrochloride 50 mg/ml
nenhum 3372
Compatível
injetável Sugammadex 100 mg/ml
injetável Phenytoin sodium 50 mg/ml
nenhum 3372
Compatível
injetável Sugammadex 100 mg/ml
injetável Phytomenadione 10 mg/ml
nenhum 3372
Precipitação imediata Incompatível
injetável Sugammadex 100 mg/ml
injetável Protamine hydrochloride 1000 UI/ml
nenhum 3372
Compatível
injetável Sugammadex
NaCl 0,45% Glucose 2,5% 2328
Compatível
injetável Sugammadex
Ringer lactato 2328
Compatível
injetável Sugammadex 100 mg/ml
injetável Thiopental sodium 25 mg/ml
nenhum 3372
Compatível
injetável Sugammadex
Glucose 5% 2328
Compatível
injetável Sugammadex
cloreto de sódio 0,9% 2328
Compatível
injetável Sugammadex 100 mg/ml
injetável Propafenone hydrochloride 3.5 mg/ml
nenhum 3372
Incompatibilidade não especificada Incompatível
injetável Sugammadex
injetável Ranitidine hydrochloride
2328
Compatível
injetável Sugammadex 100 mg/ml
injetável Remifentanil hydrochloride 5000 µg/ml
nenhum 3372
Compatível
injetável Sugammadex 100 mg/ml
injetável Tenoxicam 10 mg/ml
nenhum 3372
Compatível
injetável Sugammadex 100 mg/ml
injetável Theophylline 24 mg/ml
nenhum 3372
Compatível
injetável Sugammadex 100 mg/ml
injetável Tramadol hydrochloride 50 mg/ml
nenhum 3372
Incompatibilidade não especificada Incompatível
injetável Sugammadex
injetável Verapamil hydrochloride
2328

  Mentions Légales