Letztes “update” :
27/11/2025
Antidot   Sugammadex  
Injektion
Stabilität der Lösung Gemengestabilität Stabilitätbeeinflussende Faktoren Kompatibilitäten Applikationsart Literaturverzeichnis pdf
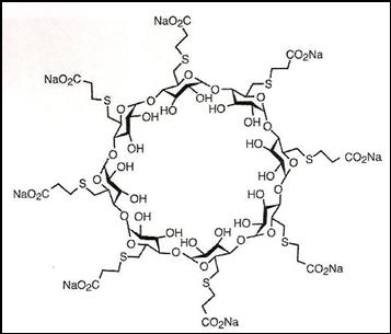
   Chemische Struktur  

Handelsmarke   Handelsmarke     

Handelsnamen sind als beispielhaft anzusehen. Sonstige Bestandteile können je nach Hersteller oder Land verschieden sein

Bridion Argentinien, Australien, Belgien, Brasilien, Chile, Dänemark, Deutschland, Ecuador, Frankreich, Großbritannien, Irland, Island, Italien, Japan, Kolumbien, Luxemburg, Malaysia, Mexiko, Neuseeland, Norwegen, Peru, Portugal, Rumänien, Schweiz, Spanien, Türkei, Ungarn
Desintunev Mexiko
Sagomyl Chile
Sugadion Chile
Sugamastar Peru
Sugammadex Belgien, Chile, Finnland, Irland, Italien, Spanien, Ungarn
Suvitali Mexiko
Kompatibilitäten   Injektion   Kompatibilitäten : Sugammadex              
Dieser Bildschirm zeigt die Kompatibilitäten oder Inkompatibilitäten mit der Art der Inkompatibilität (hier: Ausfällung, Farbänderung, Modifikation einer Emulsion usw.) an. Die hier gezeigten Kompatibilitäten sind meist nur physikalisch, wobei die chemische Stabilität jedes Moleküls selten bewertet wird. Die Bewertung dieser Gemische wurde untersucht, um die Möglichkeit einer Verabreichung über eine Y-Verbindung zu berücksichtigen. Diese Daten können daher nicht zur Herstellung von Mischungen im Voraus in Beuteln oder Spritzen verwendet werden. Sie finden diese Informationen auf dem Bildschirm "Stabilität in Mischung».
Molekül Lösungsmittel Literaturverzeichnis
kompatibel
Injektion Sugammadex 100 mg/ml
Injektion Aminophylline 24 mg/ml
Kein 3372
Sofortiger Niederschlag nicht kompatibel
Injektion Sugammadex 100 mg/ml
Injektion Amiodarone hydrochloride 50 mg/ml
Kein 3372
kompatibel
Injektion Sugammadex 100 mg/ml
Injektion Ampicillin sodium - sulbactam sodium 200 mg/ml
Kein 3372
kompatibel
Injektion Sugammadex 100 mg/ml
Injektion Atropine sulfate 1 mg/ml
Kein 3372
kompatibel
Injektion Sugammadex 100 mg/ml
Injektion Bupivacaine hydrochloride 5 mg/ml
Kein 3372
kompatibel
Injektion Sugammadex 100 mg/ml
Injektion Cefazolin sodium 250 mg/ml
Kein 3372
kompatibel
Injektion Sugammadex 100 mg/ml
Injektion Dexmedetomidine 100 µg/ml
Kein 3372
Sofortiger Niederschlag nicht kompatibel
Injektion Sugammadex 100 mg/ml
Injektion Dobutamine hydrochloride 12.5 mg/ml
Kein 3372
kompatibel
Injektion Sugammadex 100 mg/ml
Injektion Dopamine hydrochloride 8 mg/ml
Kein 3372
kompatibel
Injektion Sugammadex 100 mg/ml
Injektion Ephedrine hydrochloride 50 mg/ml
Kein 3372
kompatibel
Injektion Sugammadex 100 mg/ml
Injektion Epinephrine hydrochloride 1000 µg/ml
Kein 3372
kompatibel
Injektion Sugammadex 100 mg/ml
Injektion Esomeprazole sodium 40 mg/ml
Kein 3372
kompatibel
Injektion Sugammadex 100 mg/ml
Injektion Etomidate 2 mg/ml
Kein 3372
kompatibel
Injektion Sugammadex 100 mg/ml
Injektion Fentanyl citrate 50 µg/ml
Kein 3372
kompatibel
Injektion Sugammadex 100 mg/ml
Injektion Flumazenil 0.1 mg/ml
Kein 3372
kompatibel
Injektion Sugammadex 100 mg/ml
Injektion Furosemide 10 mg/ml
Kein 3372
kompatibel
Injektion Sugammadex 100 mg/ml
Injektion Gentamicin sulfate 40 mg/ml
Kein 3372
kompatibel
Injektion Sugammadex 100 mg/ml
Injektion Heparin sodium 1000 UI/ml
Kein 3372
kompatibel
Injektion Sugammadex 100 mg/ml
Injektion Hydrocortisone sodium succinate 250 mg/ml
Kein 3372
kompatibel
Injektion Sugammadex 100 mg/ml
Injektion Insulin 100 UI/ml
Kein 3372
kompatibel
Injektion Sugammadex 100 mg/ml
Injektion Ketamine hydrochloride 50 mg/ml
Kein 3372
kompatibel
Injektion Sugammadex 100 mg/ml
Injektion Levobupivacaine hydrochloride 7.5 mg/ml
Kein 3372
kompatibel
Injektion Sugammadex 100 mg/ml
Injektion Magnesium sulfate 72.24 mg/ml
Kein 3372
kompatibel
Injektion Sugammadex 100 mg/ml
Injektion Metamizol sodium 500 mg/ml
Kein 3372
kompatibel
Injektion Sugammadex 100 mg/ml
Injektion Metoclopramide hydrochloride 5 mg/ml
Kein 3372
kompatibel
Injektion Sugammadex 100 mg/ml
Injektion Metoprolol tartrate 1 mg/ml
Kein 3372
kompatibel
Injektion Sugammadex 100 mg/ml
Injektion Midazolam hydrochloride 5 mg/ml
Kein 3372
kompatibel
Injektion Sugammadex 100 mg/ml
Injektion N-acetylcysteine 100 mg/ml
Kein 3372
kompatibel
Injektion Sugammadex 100 mg/ml
Injektion Naloxone hydrochloride 0.4 mg/ml
Kein 3372
kompatibel
Injektion Sugammadex 100 mg/ml
Injektion Neostigmine methylsulfate 0.5 mg/ml
Kein 3372
kompatibel
Injektion Sugammadex 100 mg/ml
Injektion Nitroglycerin 5 mg/ml
Kein 3372
kompatibel
Injektion Sugammadex 100 mg/ml
Injektion Nitroprusside sodium 12 mg/ml
Kein 3372
kompatibel
Injektion Sugammadex 100 mg/ml
Injektion Norepinephrine bitartrate 1 mg/ml
Kein 3372
Nicht spezifizierte Inkompatibilität nicht kompatibel
Injektion Sugammadex
Injektion Ondansetron hydrochloride
2328
kompatibel
Injektion Sugammadex 100 mg/ml
Injektion Ornidazole 166.67 mg/ml
Kein 3372
kompatibel
Injektion Sugammadex 100 mg/ml
Injektion Oxytocin 5 UI/ml
Kein 3372
kompatibel
Injektion Sugammadex 100 mg/ml
Injektion Paracetamol 10 mg/ml
Kein 3372
kompatibel
Injektion Sugammadex 100 mg/ml
Injektion Pethidine hydrochloride 50 mg/ml
Kein 3372
kompatibel
Injektion Sugammadex 100 mg/ml
Injektion Phenytoin sodium 50 mg/ml
Kein 3372
kompatibel
Injektion Sugammadex 100 mg/ml
Injektion Phytomenadione 10 mg/ml
Kein 3372
Sofortiger Niederschlag nicht kompatibel
Injektion Sugammadex 100 mg/ml
Injektion Protamine hydrochloride 1000 UI/ml
Kein 3372
kompatibel
Injektion Sugammadex
NaCl 0,45% Glucose 2,5% 2328
kompatibel
Injektion Sugammadex
Ringer Lactat - Lösung 2328
kompatibel
Injektion Sugammadex 100 mg/ml
Injektion Thiopental sodium 25 mg/ml
Kein 3372
kompatibel
Injektion Sugammadex
5% Glucose 2328
kompatibel
Injektion Sugammadex
0,9% Natriumchlorid 2328
kompatibel
Injektion Sugammadex 100 mg/ml
Injektion Propafenone hydrochloride 3.5 mg/ml
Kein 3372
Nicht spezifizierte Inkompatibilität nicht kompatibel
Injektion Sugammadex
Injektion Ranitidine hydrochloride
2328
kompatibel
Injektion Sugammadex 100 mg/ml
Injektion Remifentanil hydrochloride 5000 µg/ml
Kein 3372
kompatibel
Injektion Sugammadex 100 mg/ml
Injektion Tenoxicam 10 mg/ml
Kein 3372
kompatibel
Injektion Sugammadex 100 mg/ml
Injektion Theophylline 24 mg/ml
Kein 3372
kompatibel
Injektion Sugammadex 100 mg/ml
Injektion Tramadol hydrochloride 50 mg/ml
Kein 3372
Nicht spezifizierte Inkompatibilität nicht kompatibel
Injektion Sugammadex
Injektion Verapamil hydrochloride
2328

  Mentions Légales