Son güncelleme :
27/01/2026
Antifungal   Anidulafungin  
Enjeksiyon
Çözeltilerin stabilitesi Karışımlardaki stabilitesi Stabiliteyi etkileyen faktörler Uyumluluk Uygulama yöntemi Kaynaklar pdf
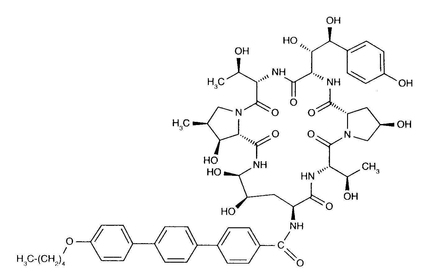
   Kimyasal yapı   

Ticari isim   Ticari isim     

Trade names are indicative and excipients composition can be different depending on the country and manufacturers

Anidulafungin Almanya, Belçika, Büyük Britanya
Anidulafungina Brezilya, İspanya
Ecalta Almanya, Amerika Birleşik Devletleri, Arjantin, Belçika, Brezilya, Büyük Britanya, Danimarka, Finlandiya, Fransa, Hollanda, İspanya, İsveç, İsviçre, İtalya, Kanada, Kolombiya, Lüksemburg, Macaristan, Malezya, Norveç, Peru, Polonya, Romanya, Şili, Türkiye, Venezuela, Yunanistan
Equalta Meksika
Eraxis Amerika Birleşik Devletleri, Avustralya, Kanada
Fuzig Meksika
Çözeltilerin stabilitesi   Enjeksiyon    Çözeltilerin stabilitesi : Anidulafungin     
Saklama kabı Çözücü Konsantrasyon Isı Saklama    Stabilite süresi Kaynaklar
Cam Enjeksiyonluk su 3.33 mg/ml 25°C Belirtilmemiş
24 Zaman
3567
Üreticinin stabilite verileri

Belirtilmemiş Sodyum klorür % 0,9 0.77 mg/ml 25°C Belirtilmemiş
48 Zaman
3567
Üreticinin stabilite verileri

Belirtilmemiş Glukoz %5 0.77 mg/ml 25°C Belirtilmemiş
48 Zaman
3567
Üreticinin stabilite verileri


  Mentions Légales