Последнее обновление :
27/04/2026
Противогрибковое средство   Anidulafungin  
Инъекция
Стабильность растворов Стабильность смесей Факторы, которые влияют на стабильность Совместимость Способы введения Библиография pdf
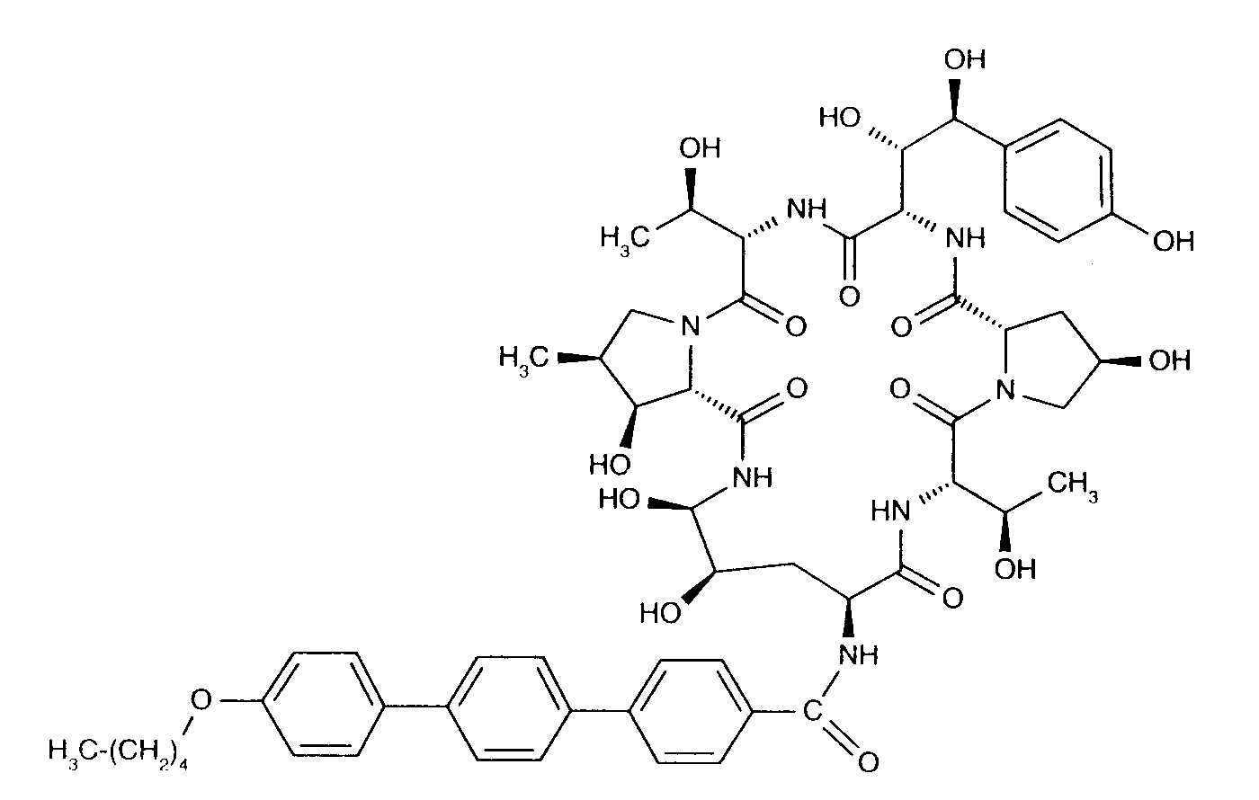
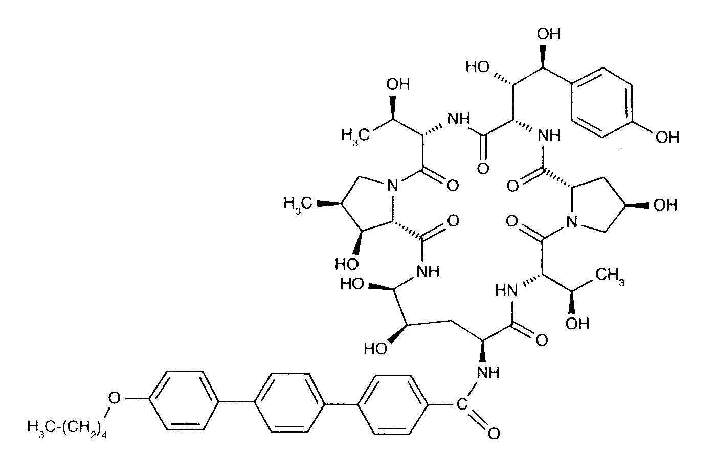
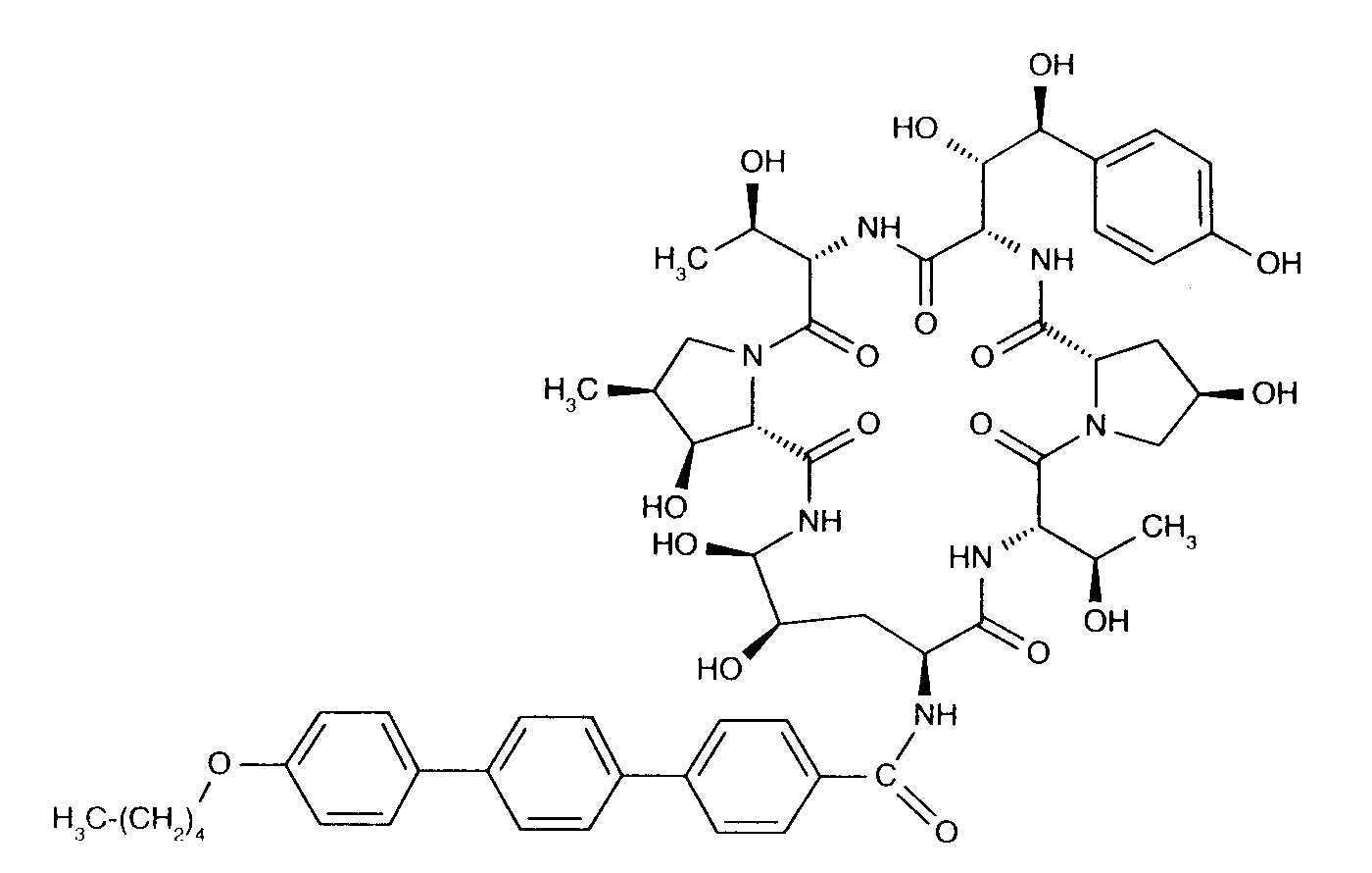
   Химическая структура  

Товарное название   Товарное название     

Trade names are indicative and excipients composition can be different depending on the country and manufacturers

Anidulafungin Бельгия, Великобритания, Германия
Anidulafungina Бразилия, Испания
Ecalta Аргентина, Бельгия, Бразилия, Великобритания, Венгрия, Венесуэла, Германия, Голландия, Греция, Дания, Испания, Италия, Канада, Колумбия, Люксембург, Малайзия, Норвегия, Перу, Польша, Румыния, Соединённые Штаты Америки, Турция, Финляндия, Франция, чили, Швейцария, Швеция
Equalta Мексика
Eraxis Австралия, Канада, Соединённые Штаты Америки
Fuzig Мексика
Стабильность растворов   Инъекция   Стабильность растворов : Anidulafungin     
Упаковка Растворитель Концентрация Температура Хранение Продолжительность стабильности Ссылки
Стекло Вода для инъекций 3.33 mg/ml 25°C Не указано
24 Час
3567
Данные по стабльности от изготовителя

Не указано Натрия хлорид 0,9% 0.77 mg/ml 25°C Не указано
48 Час
3567
Данные по стабльности от изготовителя

Не указано Глюкоза 5% 0.77 mg/ml 25°C Не указано
48 Час
3567
Данные по стабльности от изготовителя


  Mentions Légales