Ultimele actualizari :
27/01/2026
Antifungic   Anidulafungin  
Injectabil
Stabilitatea in solutie Stabilitatea in amestec Factorii care influenteaza stabilitatea Compatibilitate Microunde Bibliografie pdf
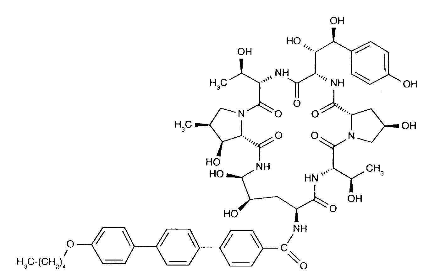
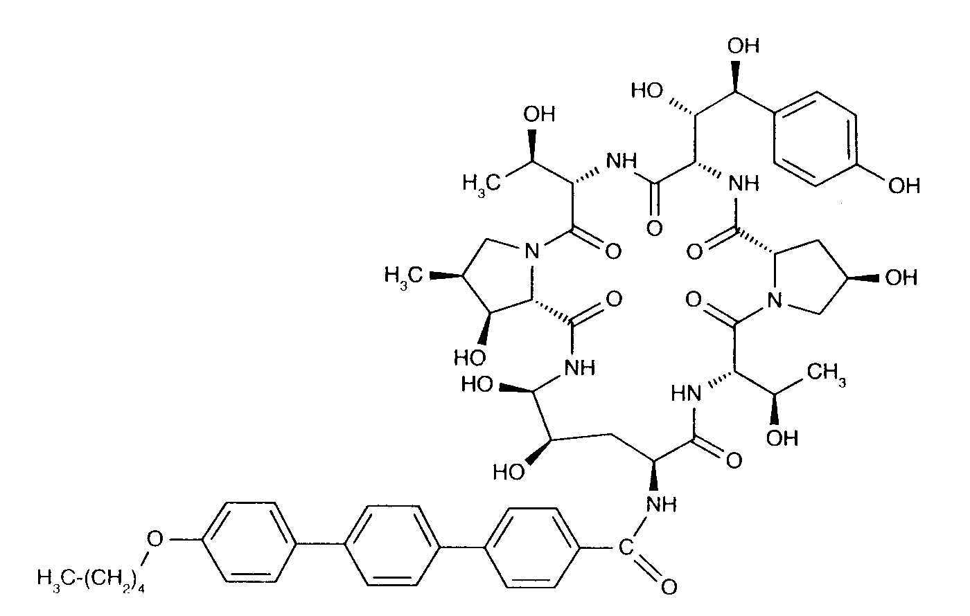
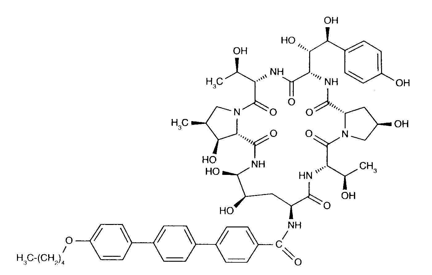
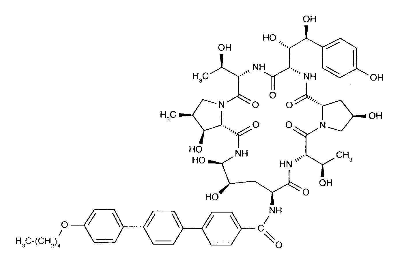
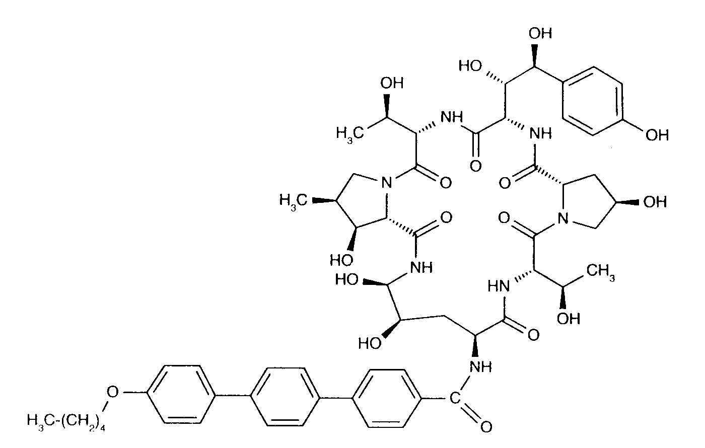
   Formula chimica  

Denumirea comerciala   Denumirea comerciala     

Trade names are indicative and excipients composition can be different depending on the country and manufacturers

Anidulafungin Belgia, Germania, Marea Britanie
Anidulafungina Brazilia, Spania
Ecalta Argentina, Belgia, Brazilia, Canada, Chilli, Columbia, Danemarca, Elvetia, Finlanda, Franta, Germania, Grecia, Italia, Luxemburg, Malaezia, Marea Britanie, Norvegia, Olanda, Peru, Polonia, Romania, Spania, SUA, Suedia, Turcia, Ungaria, Venezuela
Equalta Mexic
Eraxis Australia, Canada, SUA
Fuzig Mexic
Stabilitatea in solutie   Injectabil   Stabilitatea in solutie : Anidulafungin     
Continut Solvent Concentratie Temperatura Conservare Durata stabilității Bibiografie
sticla apa pentru preparate injectabile 3.33 mg/ml 25°C Neprecizat
24 Ora
3567
Documentele de stabilitate ale producătorului

neprecizat clorura de sodiu 0,9% 0.77 mg/ml 25°C Neprecizat
48 Ora
3567
Documentele de stabilitate ale producătorului

neprecizat Glucoza 5% 0.77 mg/ml 25°C Neprecizat
48 Ora
3567
Documentele de stabilitate ale producătorului


  Mentions Légales