Viimeisin päivitys :
27/01/2026
Sienilääkkeet   Anidulafungin  
Injektioneste
Stabilius liuoksessa Stabilius seoksissa Tekijät, jotka vaikuttavat stabiliuteen Yhteensopivuus Antotapa Viitteet pdf
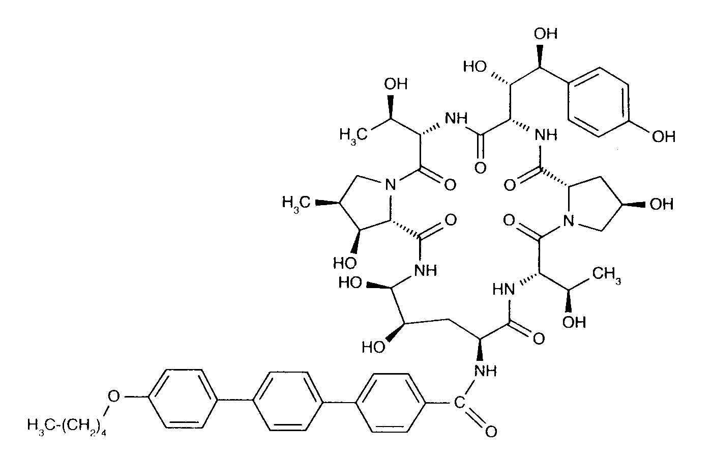
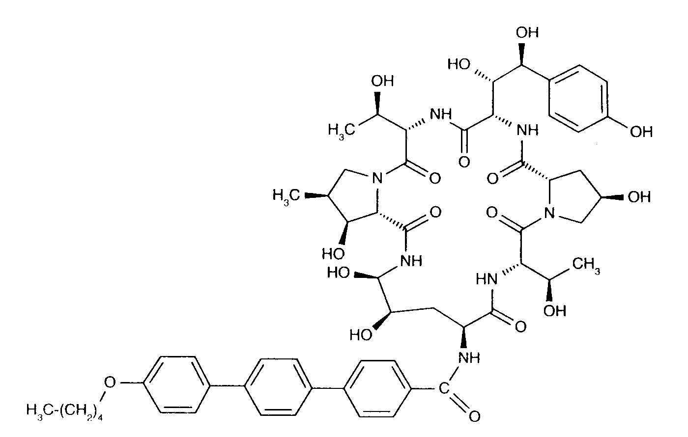
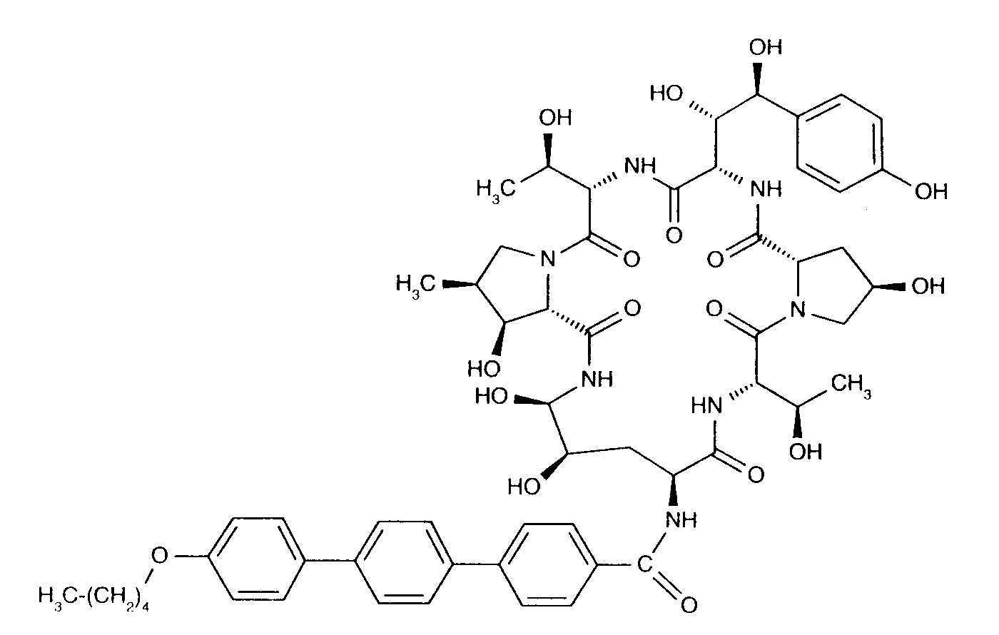
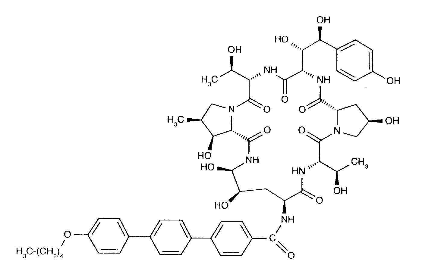
   Kemiallinen rakenne  

Kauppanimi   Kauppanimi     

Trade names are indicative and excipients composition can be different depending on the country and manufacturers

Anidulafungin Belgia, Iso-Britannia, Saksa
Anidulafungina Brasilia, Espanja
Ecalta Argentiina, Belgia, Brasilia, Chile, Espanja, Hollanti, Iso-Britannia, Italia, Kanada, Kolumbia, Kreikka, Luxemburg, Malesia, Marokko, Norja, Puola, Ranska, Romania, Ruotsi, Saksa, Suomi, Sveitsi, Tanska, Turkki, Unkari, Venezuela, Yhdysvallat
Equalta Meksiko
Eraxis Australia, Kanada, Yhdysvallat
Fuzig Meksiko
Stabilius liuoksessa   Injektioneste   Stabilius liuoksessa : Anidulafungin     
Astia Liuotin Konsentraatio Lämpötila Säilytys Vakauden kesto Viitteet
Lasi Injektionesteisiin käytettävä vesi 3.33 mg/ml 25°C Ei määritetty
24 tunti
3567
Valmistajan antamat stabiiliustiedot

Ei määritetty Natriumkloridi 0,9% 0.77 mg/ml 25°C Ei määritetty
48 tunti
3567
Valmistajan antamat stabiiliustiedot

Ei määritetty Glukoosi 5% 0.77 mg/ml 25°C Ei määritetty
48 tunti
3567
Valmistajan antamat stabiiliustiedot


  Mentions Légales