Ultimo aggiornamento :
27/04/2026
Antimicotico   Anidulafungin  
Iniezione
Stabilità in soluzione Stabilità in miscela Fattori che influenzano la stabilità Compatibilità metodo di iniezione Bibliografia pdf
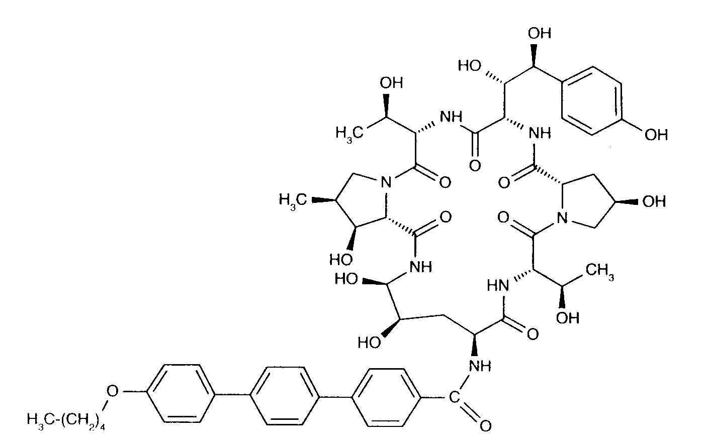
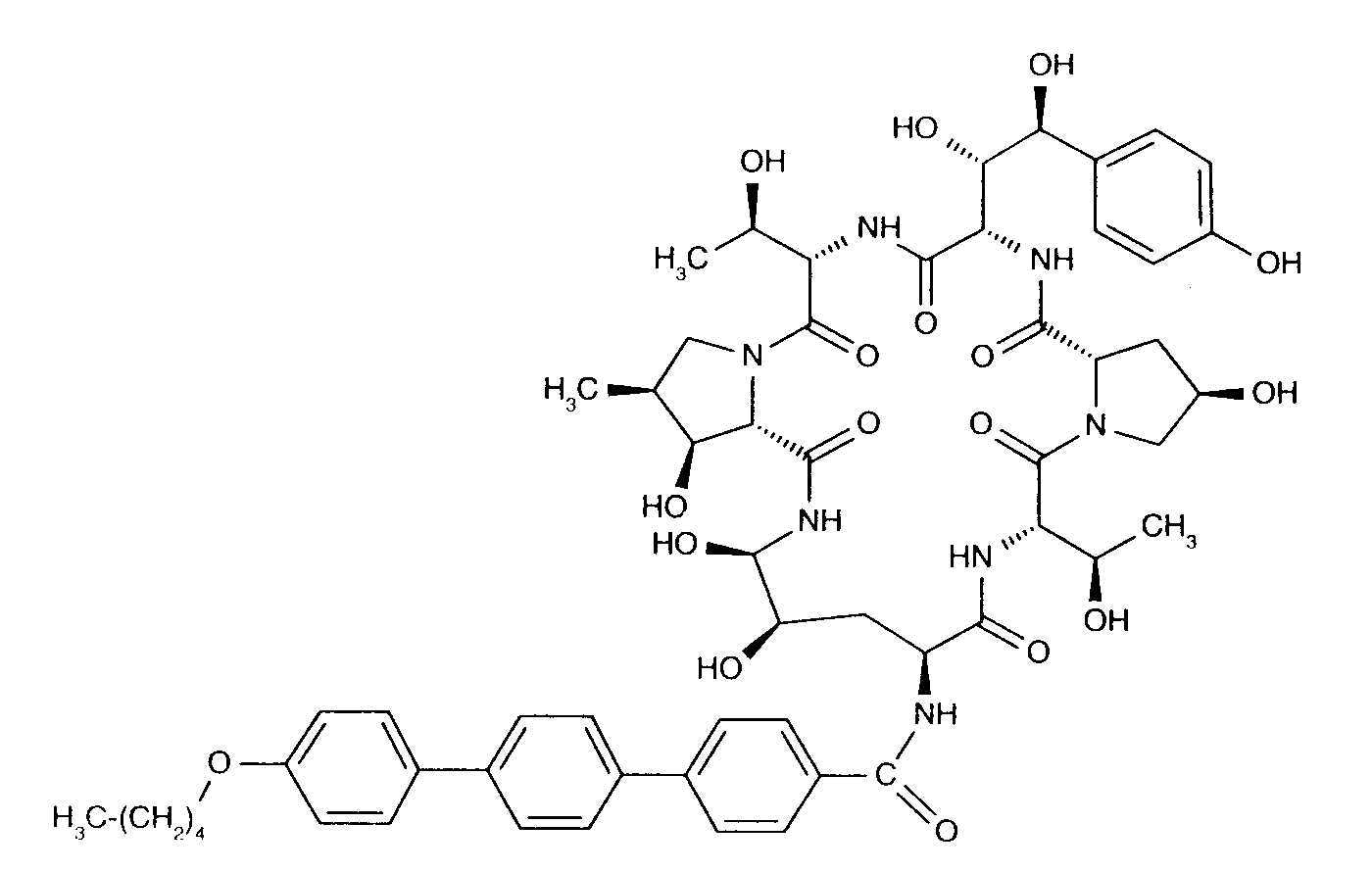
   Struttura chimica  

Nome commerciale   Nome commerciale     

Trade names are indicative and excipients composition can be different depending on the country and manufacturers

Anidulafungin Belgio, Germania, Gran Bretagna
Anidulafungina Brasile, Spagna
Ecalta Argentina, Belgio, Brasile, Canada, Chile, Colombia, Danimarca, Finlandia, Francia, Germania, Gran Bretagna, Grecia, Italia, Lussemburgo, Malaysia, Norvegia, Paesi Bassi, Perù, Polonia, Romania, Spagna, Stati Uniti d’America, Svezia, Svizzera, Turchia, Ungheria, Venezuela
Equalta Messico
Eraxis Australia, Canada, Stati Uniti d’America
Fuzig Messico
Stabilità in soluzione   Iniezione   Stabilità in soluzione : Anidulafungin     
contenitore Solvente Concentrazione Temperatura Conservazione Durata della stabilità Bibliografia
Vetro Acqua per preparato iniettabile 3.33 mg/ml 25°C Non precisata
24 Ora
3567
Dati di stabilità del produttore

Non precisato Cloruro di sodio 0,9% 0.77 mg/ml 25°C Non precisata
48 Ora
3567
Dati di stabilità del produttore

Non precisato Glucosio 5% 0.77 mg/ml 25°C Non precisata
48 Ora
3567
Dati di stabilità del produttore


  Mentions Légales