Poslední aktualizace :
27/11/2025
Priešgrybelinis vaistas   Anidulafungin  
Įpurškimas
Tirpalų stabilumas Mišinių stabilumas Stabilumą lemiantys veiksniai Suderinamumas Leidimo būdai Bibliografija pdf
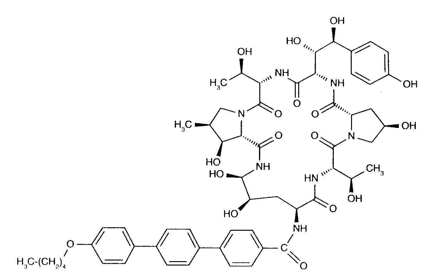
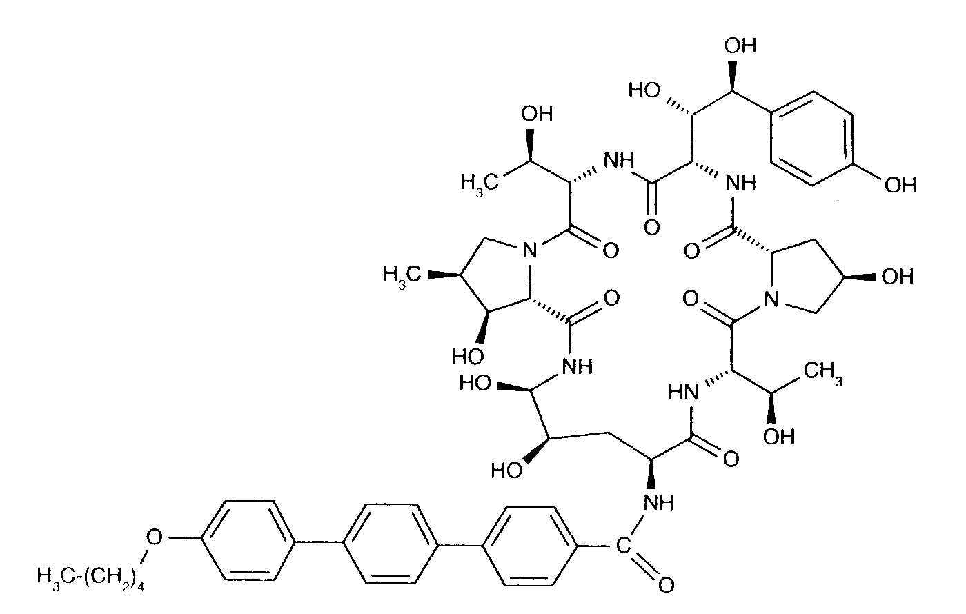
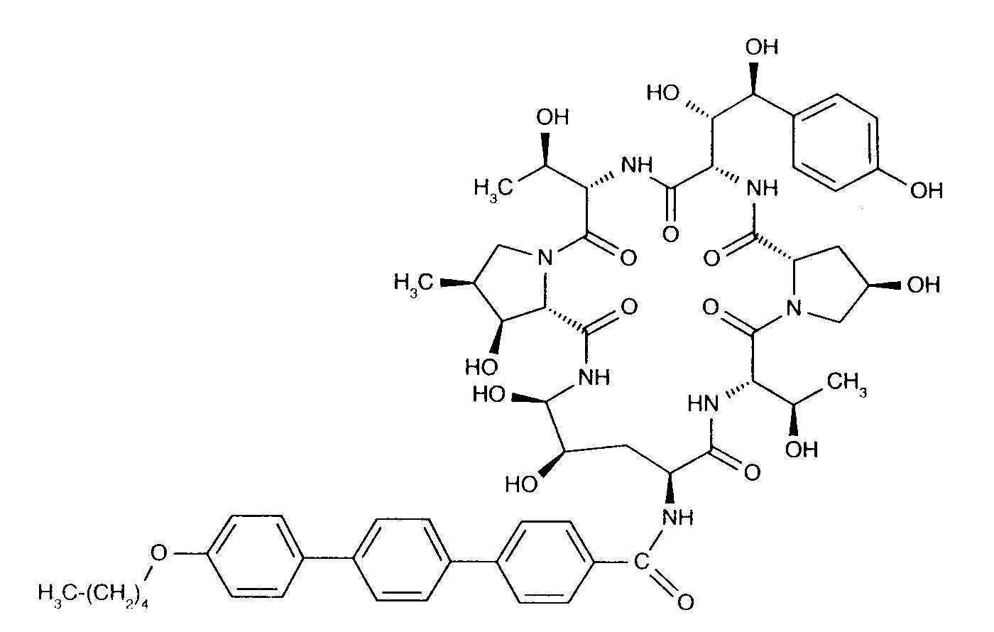
   Cheminė sandara  

Prekinis pavadinimas   Prekinis pavadinimas     

Trade names are indicative and excipients composition can be different depending on the country and manufacturers

Anidulafungin Belgija, Didžioji Britanija, Vokietija
Anidulafungina Brazilija, Ispanija
Ecalta Argentina, Belgija, Brazilija, Čilė, Danija, Didžioji Britanija, Graikija, Ispanija, Italija, Jungtinės Amerikos Valstijos, Kanada, Kolumbija, Lenkija, Liuksemburgas, Malaizija, Norvegija, Olandija, Peru, Prancūzija, Rumunija, Suomija, Švedija, Šveicarija, Turkija, Venesuela, Vengrija, Vokietija
Equalta Meksikas
Eraxis Australija, Jungtinės Amerikos Valstijos, Kanada
Fuzig Meksikas
Tirpalų stabilumas   Įpurškimas   Tirpalų stabilumas : Anidulafungin     
Pakuotė Tirpiklis Koncentracija Temperatūra Laikymas Stabilumo trukmė Nuorodos
Stiklas Vanduo injekcijoms 3.33 mg/ml 25°C Nenurodyta
24 Valanda
3567
Gamintojo stabilumo duomenys

Nenurodyta Natrio chloridas 0,9% 0.77 mg/ml 25°C Nenurodyta
48 Valanda
3567
Gamintojo stabilumo duomenys

Nenurodyta Gliukozė 5% 0.77 mg/ml 25°C Nenurodyta
48 Valanda
3567
Gamintojo stabilumo duomenys


  Mentions Légales