Seneste opdatering :
27/01/2026
Antisvampe   Anidulafungin  
Injektion
Stabilitet i (vandige) opløsninger Stabilitet i blandinger Faktorer der påvirker stabiliteten Kompatibilitet Administrationsvej Bibliografi pdf
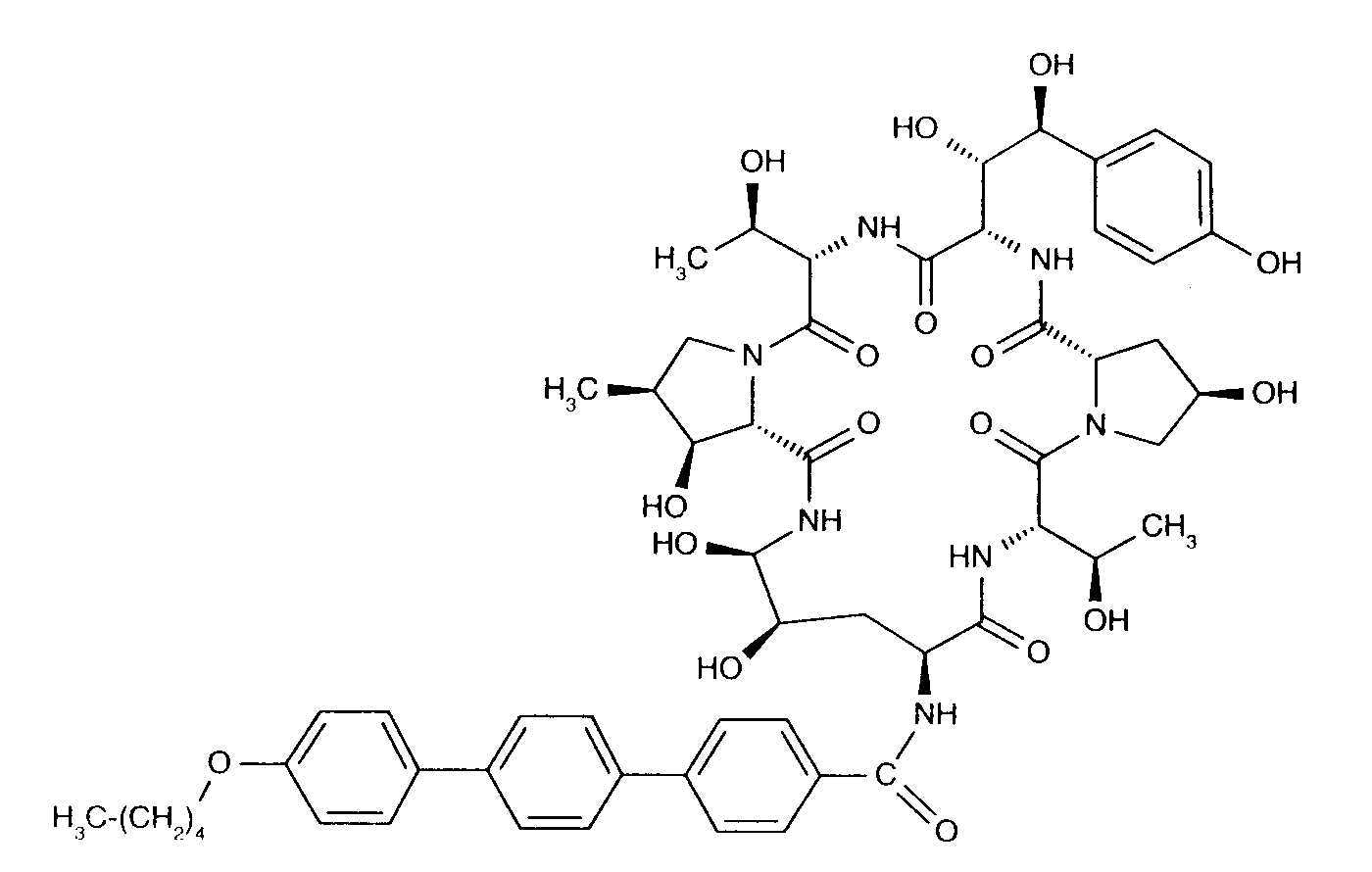
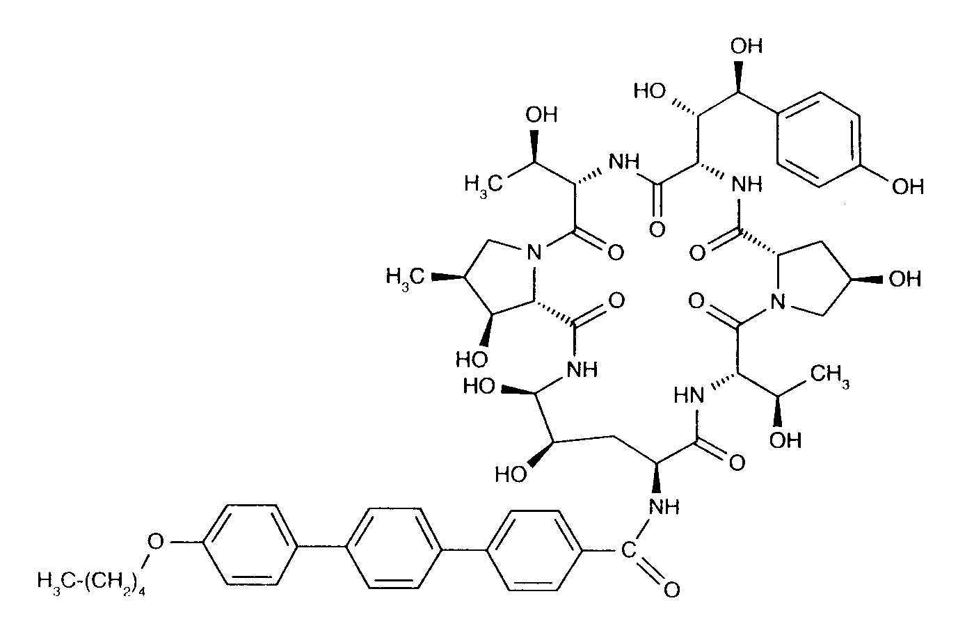
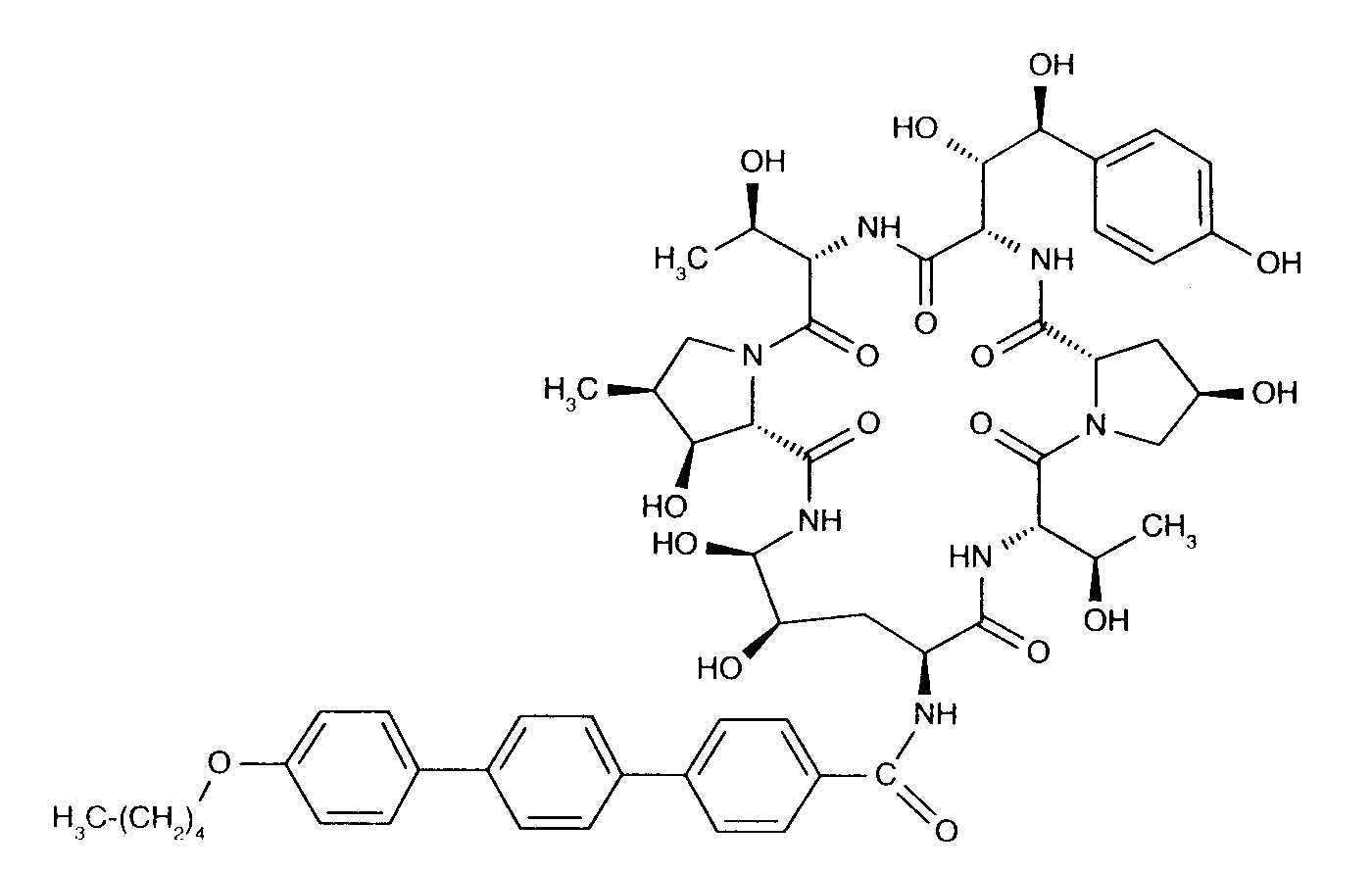
   Kemisk struktur  

Handelsnavn   Handelsnavn     

Handel navne er vejledende og hjælpestoffer sammensætning kan være forskellig afhængigt af landet og laboratorier

Anidulafungin Belgien, Storbritanien, Tyskland
Anidulafungina Brasilien, Spanien
Ecalta Argentina, Belgien, Brasilien, Canada, Chile, Colombia, Danmark, Finland, Frankrig, Grækenland, Holland, Italien, Luxemborg, Malaysia, Marokko, Norge, Polen, Rumænien, Schweiz, Spanien, Storbritanien, Sverige, Tyrkiet, Tyskland, Ungarn, USA, Venezuela
Equalta Mexico
Eraxis Australien, Canada, USA
Fuzig Mexico
Stabilitet i (vandige) opløsninger   Injektion   Stabilitet i (vandige) opløsninger : Anidulafungin     
Beholder Opløsningsmiddel Koncentration Temperatur Konservering Varighed af stabilitet Bibliografi
Glas Vand til injektion 3.33 mg/ml 25°C Ikke nærmere angivet
24 Time
3567
Producentens stabilitet data

Ikke angivet nærmere 0,9 % Natriumklorid 0.77 mg/ml 25°C Ikke nærmere angivet
48 Time
3567
Producentens stabilitet data

Ikke angivet nærmere 5 % Glukose 0.77 mg/ml 25°C Ikke nærmere angivet
48 Time
3567
Producentens stabilitet data


  Mentions Légales