Poslední aktualizace :
27/04/2026
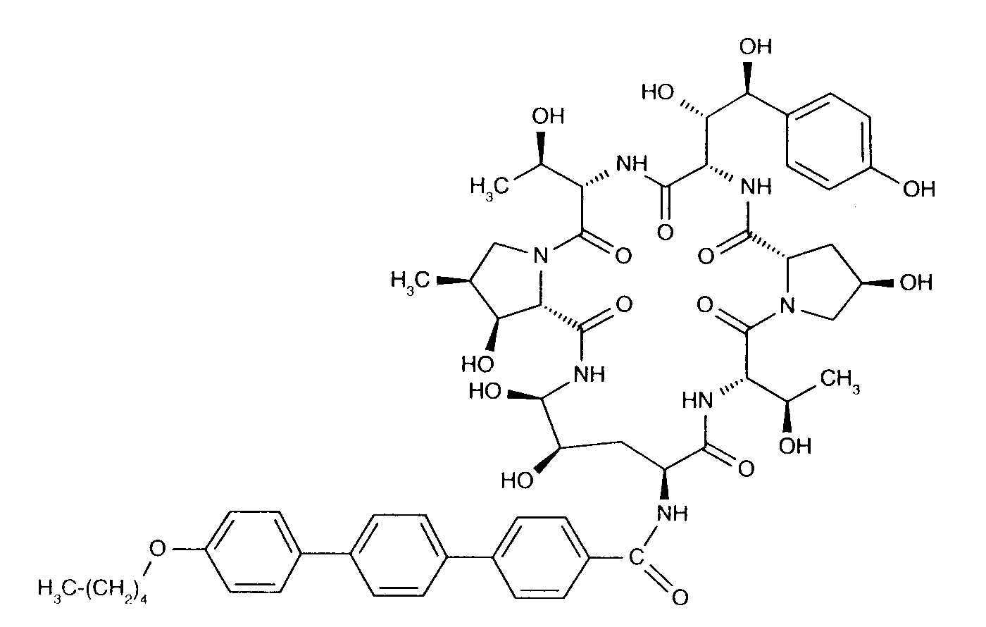
Protiplísňový přípravek   Anidulafungin  
injekce
Stabilita roztoků Stabilita směsí Faktory ovlivňující stabilitu Kompatibilita Způsoby aplikace Odkazy pdf
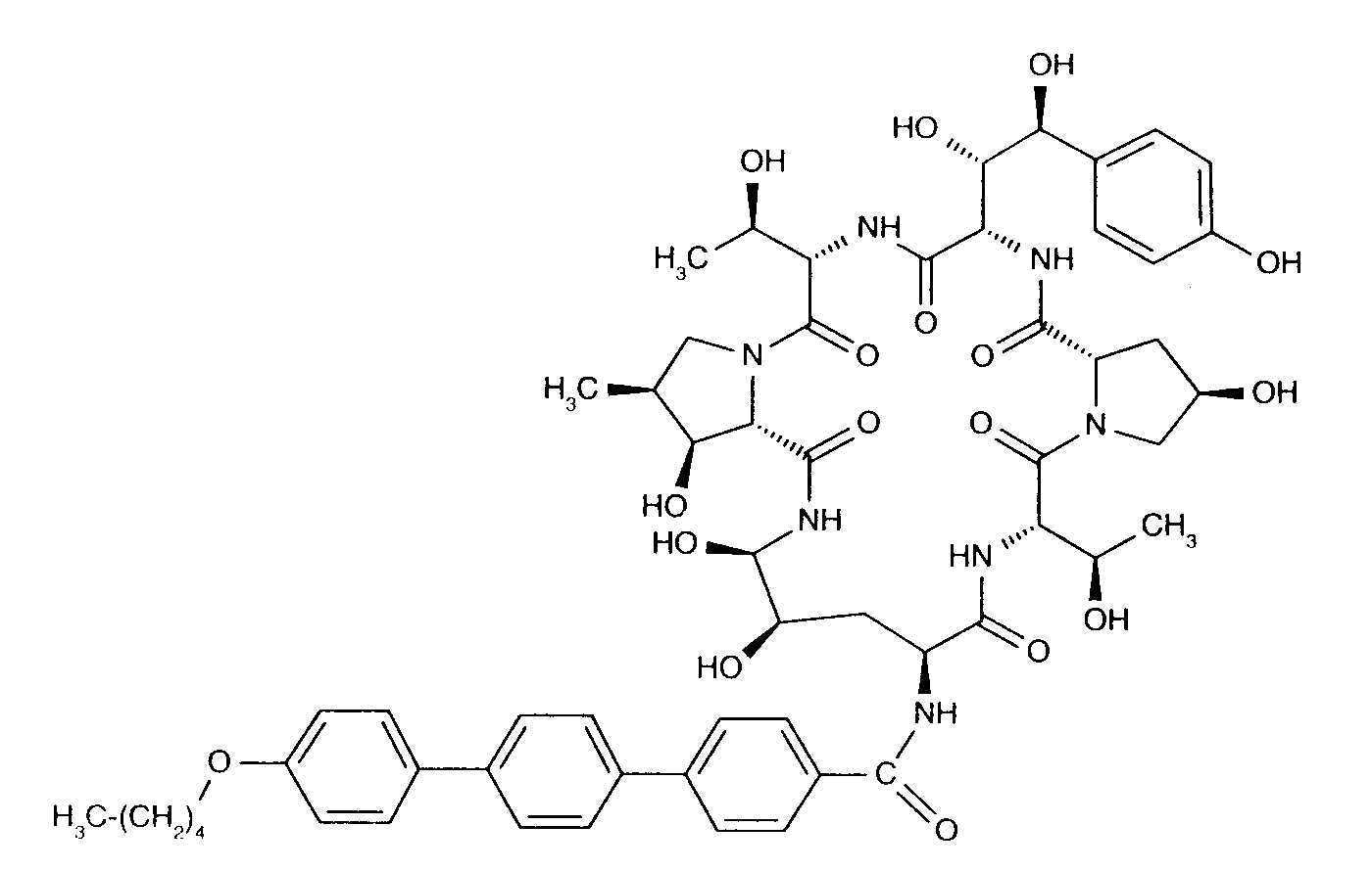
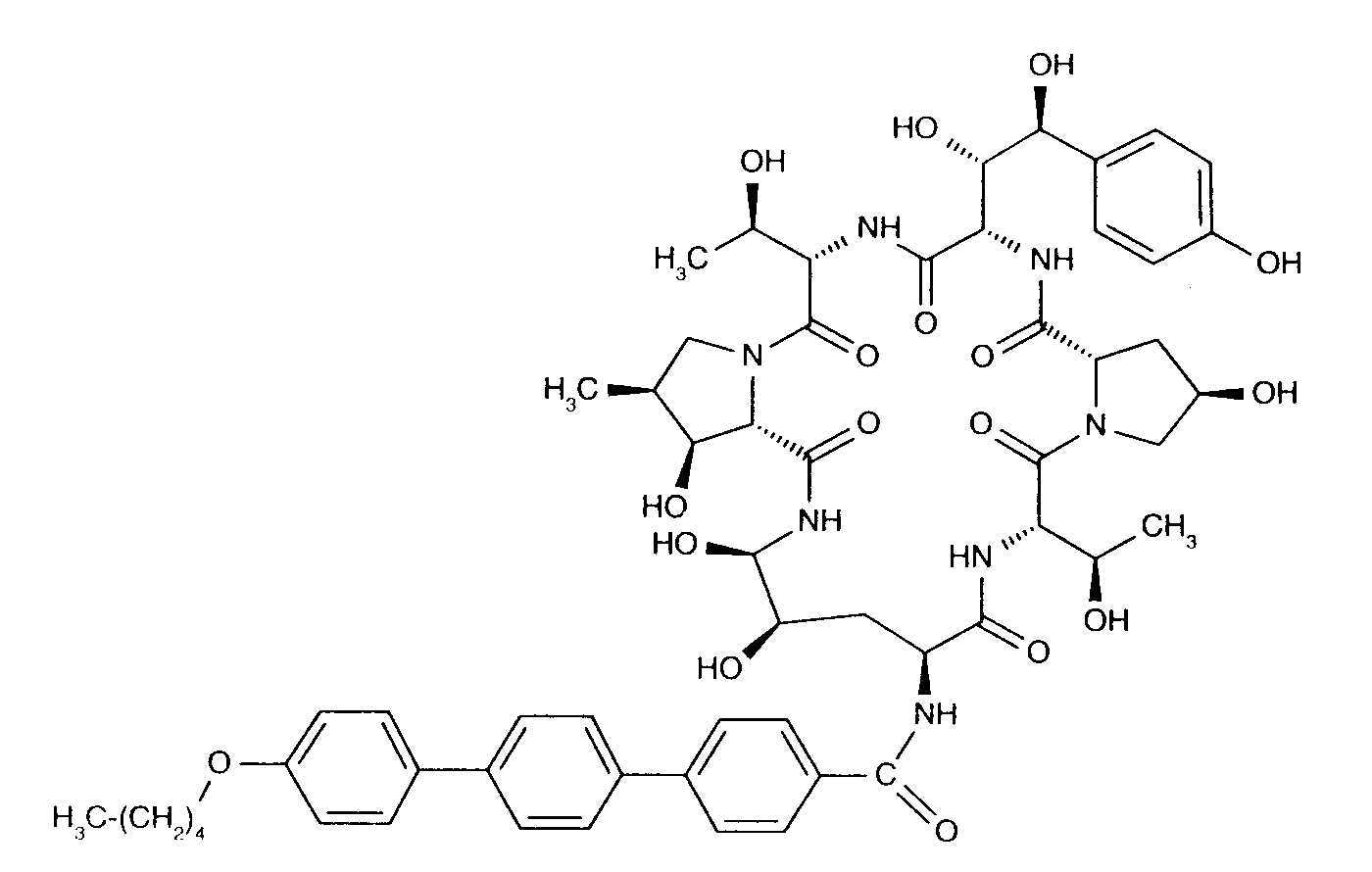
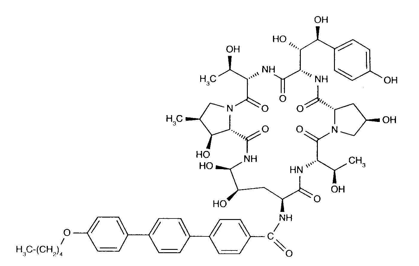
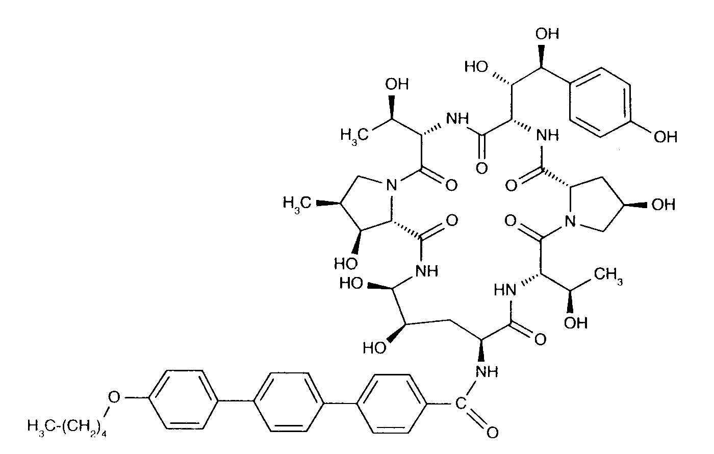
   Chemický vzorec  

Obchodní název   Obchodní název     

Trade names are indicative and excipients composition can be different depending on the country and manufacturers

Anidulafungin Belgie, NÏmecko, Velká Británie
Anidulafungina äpanÏlsko, BrazÌlie
Ecalta äpanÏlsko, Argentina, Belgie, BrazÌlie, Chile, Dánsko, Finsko, Francie, Itálie, Kanada, Kolumbie, Lucembursko, Malajsie, MaÔarsko, NÏmecko, Nizozemsko, Norsko, Peru, Polsko, Rumunsko, Švédsko, Švýcarsko, Turecko, USA, Velká Británie, Venezuela, ÿecko
Equalta Mexiko
Eraxis Austrálie, Kanada, USA
Fuzig Mexiko
Stabilita roztoků   injekce   Stabilita roztoků : Anidulafungin     
Obal RozpouötÏdlo Koncentrace Teplota Uchovávání Trvání stability Odkazy
Sklo Voda pro injekci 3.33 mg/ml 25°C Nespecifikováno
24 Hodina
3567
Údaje o stabilitě od výrobce

Nespecifikováno Chlorid sodný 0,9% 0.77 mg/ml 25°C Nespecifikováno
48 Hodina
3567
Údaje o stabilitě od výrobce

Nespecifikováno GlukÛza 5% 0.77 mg/ml 25°C Nespecifikováno
48 Hodina
3567
Údaje o stabilitě od výrobce


  Mentions Légales