|
|
Kaubanduslikud nimed erinevates maades |
|
|
Preparaatide nimed on näitlikud ja abianete sisaldus võib erineda sõltuvalt riigist ja laborist
|
|
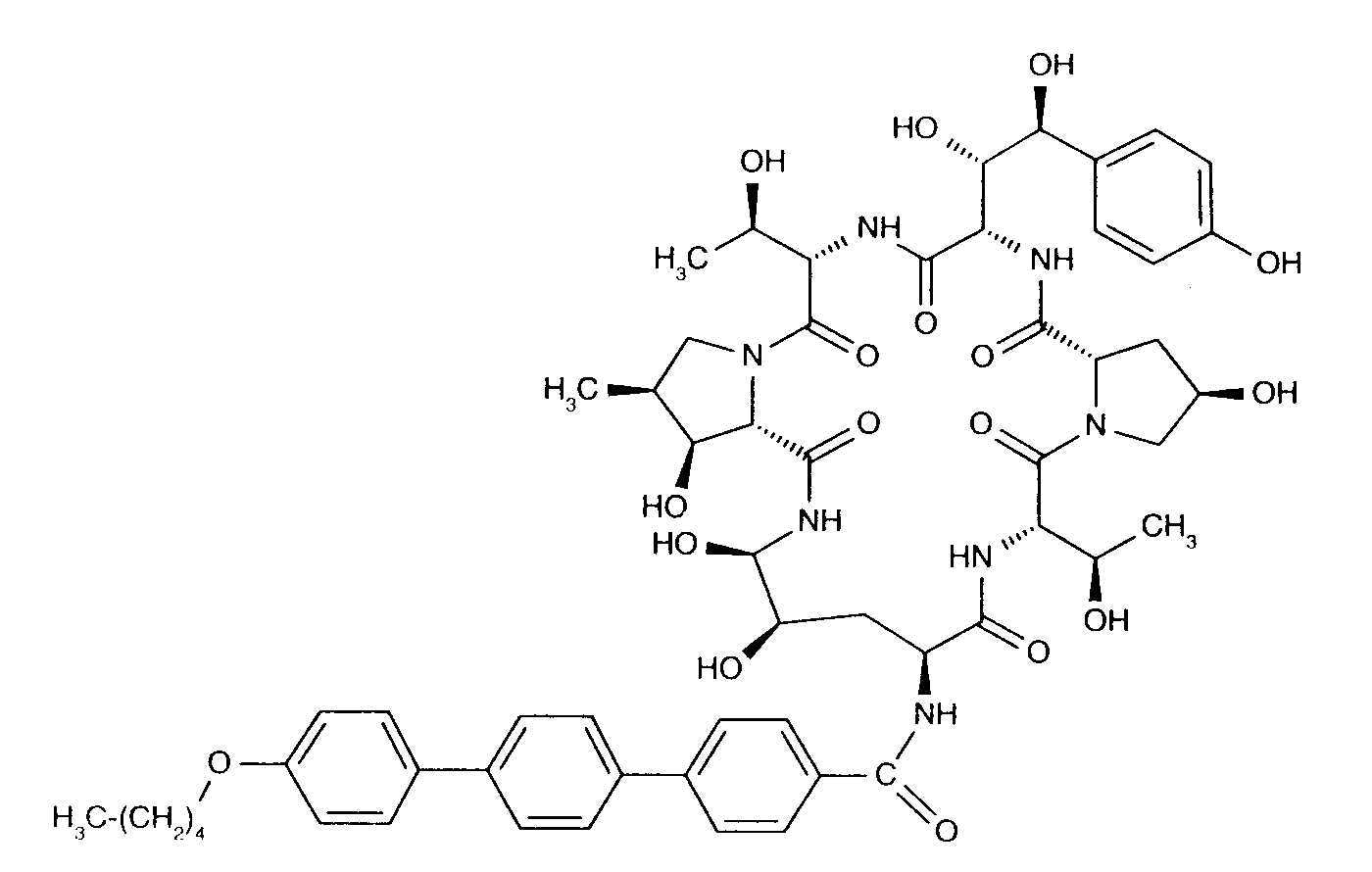
Anidulafungin |
Belgia, Saksamaa, Suurbritannia |
|
Anidulafungina |
Brasiilia, Hispaania |
|
Ecalta |
Ameerika ühendriigid, Argentiina, Belgia, Brasiilia, Hispaania, Holland, Itaalia, Kanada, Kolumbia, Kreeka, Luksemburg, Malaisia, Maroko, Norra, Poola, Prantsusmaa, Rootsi, Rumeenia, Saksamaa, Soome, Suurbritannia, Sveits, Taani, Tšiili, Türgi, Ungari, Venetsueela |
|
Equalta |
Mehhiko |
|
Eraxis |
Ameerika ühendriigid, Austraalia, Kanada |
|
Fuzig |
Mehhiko |
|
|