Última actualización :
27/04/2026
Antifúngico   Anidulafungin  
Inyectables
Estabilidad en solucion Estabilidad en mezcla Factores que influyen sobre la estabilidad Compatibilidades método de inyección Bibliografía pdf
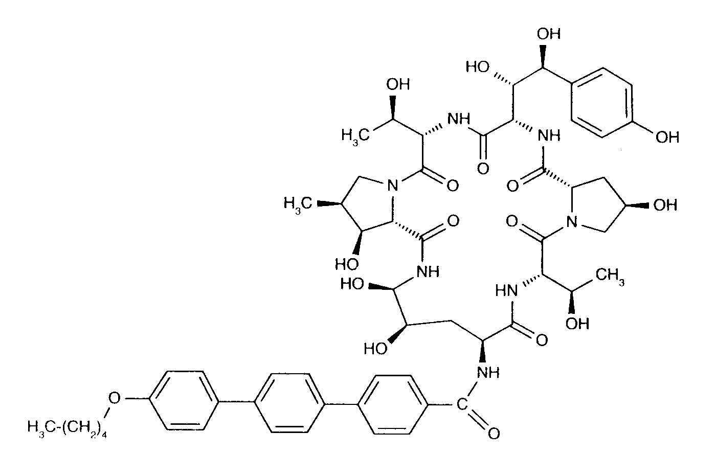
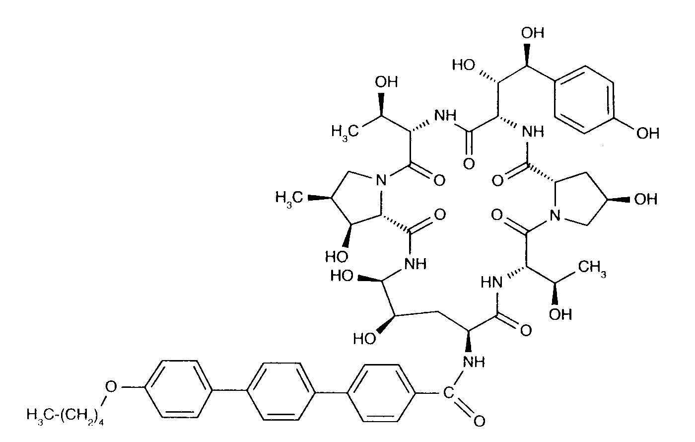
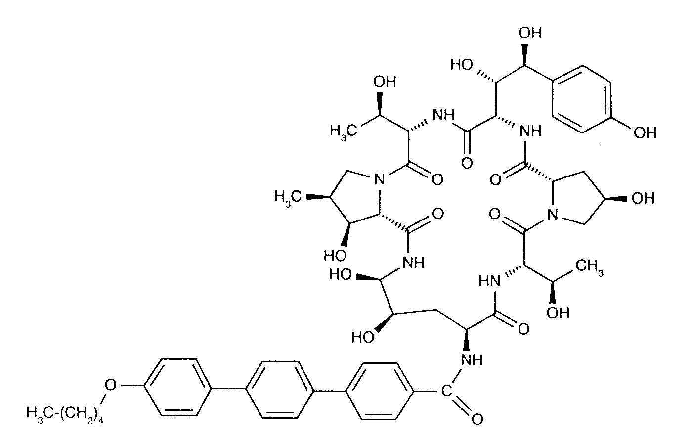
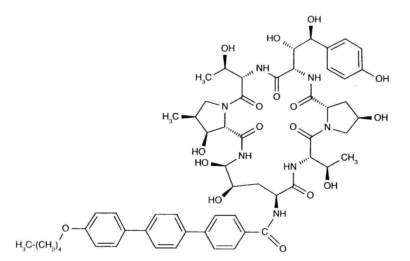
   Estructura química  

Nombre comercial   Nombre comercial     

Los nombres comerciales son orientativos y los excipientes de la formulación pueden ser distintos dependiendo del país y del laboratorio fabricante.

Anidulafungin Alemania, Bélgica, Gran Bretaña
Anidulafungina Brasil, España
Ecalta Alemania, Argentina, Bélgica, Brasil, Canadá, Chile, Colombia, Dinamarca, España, Estados Unidos de América, Finlandia, Francia, Gran Bretaña, Grecia, Hungría, Italia, Luxemburgo, Malasia, Marruecos, Noruega, Países Bajos, Polonia, Rumania, Suecia, Suiza, Turquía, Venezuela
Equalta México
Eraxis Australia, Canadá, Estados Unidos de América
Fuzig México
Estabilidad en solucion   Inyectables   Estabilidad en solucion : Anidulafungin     
Envase Solvente Concentración Temperatura Conservación Duración de la estabilidad Bibliografía
Vidrio Agua para preparación inyectable 3.33 mg/ml 25°C No precisada
24 Hora
3567
Datos de estabilidad del fabricante

No precisado Cloruro de sodio 0,9% 0.77 mg/ml 25°C No precisada
48 Hora
3567
Datos de estabilidad del fabricante

No precisado Glucosa 5% 0.77 mg/ml 25°C No precisada
48 Hora
3567
Datos de estabilidad del fabricante


  Mentions Légales