Cập nhật lần cuối :
27/04/2026
Thuốc giảm đau   Hydromorphone hydrochloride  
Dạng tiêm
Tính ổn định của các dung dịch Độ ổn định khi trộn lẫn Những yếu tố ảnh hưởng đến độ ổn định Khả năng tương thích Đường dùng Tài liệu tham khảo Pdf
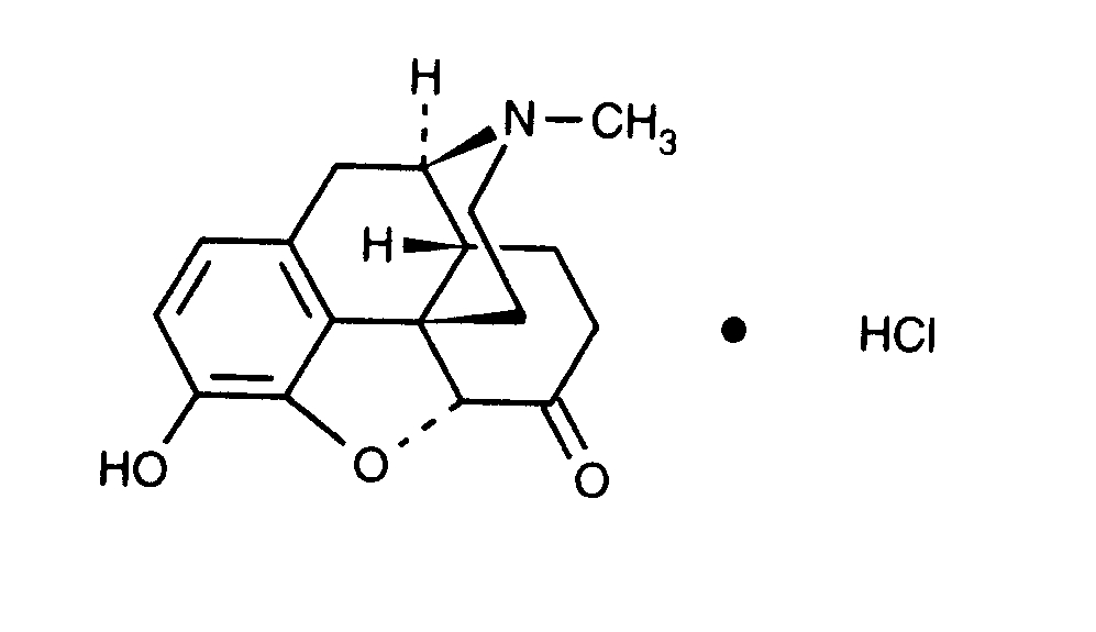
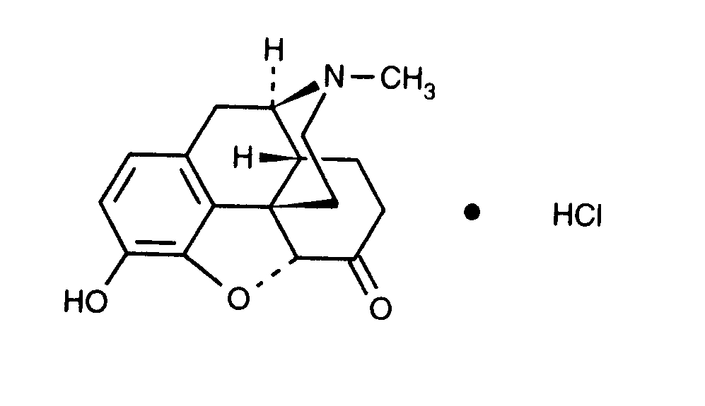
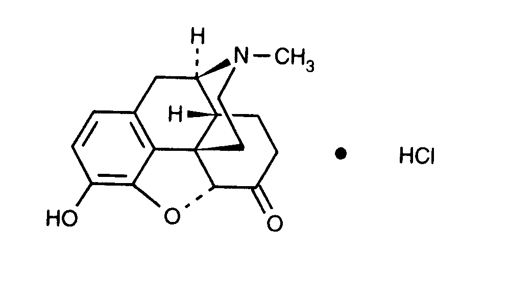
   Cấu trúc hóa học  

Tên thương mại   Tên thương mại     

Các tên thương mại được cung cấp và thành phần tá dược có thể khác nhau giữa các quốc gia và các hãng dược

Dilaudid Canada, Hoa Kỳ
Hydal Áo
Palladon Thụy Sỹ, Đan Mạch
Palladone Anh
Tính ổn định của các dung dịch   Dạng tiêm   Tính ổn định của các dung dịch : Hydromorphone hydrochloride     
Bao bì Dung môi Nồng độ Nhiệt độ Bảo quản Thời gian ổn định Mục lục
Thủy tinh Không quy định 50 mg/ml 37°C Tránh ánh sáng
90 Ngày
2305

Nhựa polyvinyl chloride NaCl 0,9% ? mg/ml 25°C Không rõ
7 Ngày
5073
Các dữ liệu về độ ổn định của nhà sản xuất

Nhựa polyvinyl chloride NaCl 0,9% ? mg/ml 37°C Không rõ
7 Ngày
5073
Các dữ liệu về độ ổn định của nhà sản xuất

Nhựa polyvinyl chloride NaCl 0,9% ? mg/ml 4°C Không rõ
7 Ngày
5073
Các dữ liệu về độ ổn định của nhà sản xuất

Nhựa polyvinyl chloride NaCl 0,9% 0,2 & 10 mg/ml 23°C Không rõ
90 Ngày
4230
Cấp độ bằng chứng A

Nhựa polyvinyl chloride NaCl 0,9% 1 & 5 mg/ml 23°C Không rõ
42 Ngày
120
Cấp độ bằng chứng C

Nhựa polyvinyl chloride NaCl 0,9% 1 & 5 mg/ml 4°C Tránh ánh sáng
42 Ngày
120
Cấp độ bằng chứng C

Nhựa polyvinyl chloride NaCl 0,9% 20 mg/ml 22°C Không rõ
7 Ngày
4664
Cấp độ bằng chứng D

Nhựa polyvinyl chloride NaCl 0,9% 20 mg/ml 37°C Không rõ
7 Ngày
4664
Cấp độ bằng chứng D

Nhựa polyvinyl chloride Glucose 5% ? mg/ml 25°C Không rõ
7 Ngày
5073
Các dữ liệu về độ ổn định của nhà sản xuất

Nhựa polyvinyl chloride Glucose 5% ? mg/ml 37°C Không rõ
7 Ngày
5073
Các dữ liệu về độ ổn định của nhà sản xuất

Nhựa polyvinyl chloride Glucose 5% ? mg/ml 4°C Không rõ
7 Ngày
5073
Các dữ liệu về độ ổn định của nhà sản xuất

Nhựa polyvinyl chloride Glucose 5% 1 & 5 mg/ml 23°C Không rõ
42 Ngày
120
Cấp độ bằng chứng C

Nhựa polyvinyl chloride Glucose 5% 1 & 5 mg/ml 4°C Tránh ánh sáng
42 Ngày
120
Cấp độ bằng chứng C

Nhựa polyethylen NaCl 0,9% ? mg/ml 25°C Không rõ
7 Ngày
5073
Các dữ liệu về độ ổn định của nhà sản xuất

Nhựa polyethylen NaCl 0,9% ? mg/ml 37°C Không rõ
7 Ngày
5073
Các dữ liệu về độ ổn định của nhà sản xuất

Nhựa polyethylen NaCl 0,9% ? mg/ml 4°C Không rõ
7 Ngày
5073
Các dữ liệu về độ ổn định của nhà sản xuất

Nhựa polyethylen Glucose 5% ? mg/ml 25°C Không rõ
7 Ngày
5073
Các dữ liệu về độ ổn định của nhà sản xuất

Nhựa polyethylen Glucose 5% ? mg/ml 37°C Không rõ
7 Ngày
5073
Các dữ liệu về độ ổn định của nhà sản xuất

Nhựa polyethylen Glucose 5% ? mg/ml 4°C Không rõ
7 Ngày
5073
Các dữ liệu về độ ổn định của nhà sản xuất

Nhựa polyolefin NaCl 0,9% 0,2 & 10 mg/ml 23°C Không rõ
90 Ngày
4230
Cấp độ bằng chứng A

Nhựa ethylene vinyl acetat NaCl 0,9% ? mg/ml 25°C Không rõ
7 Ngày
5073
Các dữ liệu về độ ổn định của nhà sản xuất

Nhựa ethylene vinyl acetat NaCl 0,9% ? mg/ml 37°C Không rõ
7 Ngày
5073
Các dữ liệu về độ ổn định của nhà sản xuất

Nhựa ethylene vinyl acetat NaCl 0,9% ? mg/ml 4°C Không rõ
7 Ngày
5073
Các dữ liệu về độ ổn định của nhà sản xuất

Nhựa ethylene vinyl acetat Glucose 5% ? mg/ml 25°C Không rõ
7 Ngày
5073
Các dữ liệu về độ ổn định của nhà sản xuất

Nhựa ethylene vinyl acetat Glucose 5% ? mg/ml 37°C Không rõ
7 Ngày
5073
Các dữ liệu về độ ổn định của nhà sản xuất

Nhựa ethylene vinyl acetat Glucose 5% ? mg/ml 4°C Không rõ
7 Ngày
5073
Các dữ liệu về độ ổn định của nhà sản xuất

ống tiêm polypropylene NaCl 0,9% ? mg/ml 25°C Không rõ
7 Ngày
5073
Các dữ liệu về độ ổn định của nhà sản xuất

ống tiêm polypropylene NaCl 0,9% ? mg/ml 37°C Không rõ
7 Ngày
5073
Các dữ liệu về độ ổn định của nhà sản xuất

ống tiêm polypropylene NaCl 0,9% ? mg/ml 4°C Không rõ
7 Ngày
5073
Các dữ liệu về độ ổn định của nhà sản xuất

ống tiêm polypropylene NaCl 0,9% 0,1 mg/ml 25°C Không rõ
100 Ngày
4303
Cấp độ bằng chứng A

ống tiêm polypropylene NaCl 0,9% 0,1 mg/ml 30°C Không rõ
30 Ngày
5
Cấp độ bằng chứng B

ống tiêm polypropylene NaCl 0,9% 1,5 & 80 mg/ml 23°C Ánh sáng
60 Ngày
1706
Cấp độ bằng chứng A+

ống tiêm polypropylene NaCl 0,9% 1,5 & 80 mg/ml 37°C Tránh ánh sáng
48 Giờ
1706
Cấp độ bằng chứng A+

ống tiêm polypropylene NaCl 0,9% 1,5 & 80 mg/ml 4°C Tránh ánh sáng
60 Ngày
1706
Cấp độ bằng chứng A+

ống tiêm polypropylene Glucose 5% ? mg/ml 25°C Không rõ
7 Ngày
5073
Các dữ liệu về độ ổn định của nhà sản xuất

ống tiêm polypropylene Glucose 5% ? mg/ml 37°C Không rõ
7 Ngày
5073
Các dữ liệu về độ ổn định của nhà sản xuất

ống tiêm polypropylene Glucose 5% ? mg/ml 4°C Không rõ
7 Ngày
5073
Các dữ liệu về độ ổn định của nhà sản xuất

ống tiêm polypropylene Không 10 mg/ml 30°C Không rõ
30 Ngày
5
Cấp độ bằng chứng B

Không rõ NaCl 0,9% 0,2 mg/ml 20°C Có hoặc không có tiếp xúc với ánh sáng
112 Ngày
2659
Cấp độ bằng chứng A

Không rõ NaCl 0,9% 0,2 mg/ml 35°C Tránh ánh sáng
112 Ngày
2659
Cấp độ bằng chứng A

Không rõ NaCl 0,9% 0,2 mg/ml 5°C Tránh ánh sáng
112 Ngày
2659
Cấp độ bằng chứng A

Không rõ Không 10 mg/ml 37°C Tránh ánh sáng
120 Ngày
1867
Cấp độ bằng chứng D


  Mentions Légales