最新更新 :
27/04/2026
鎮痛薬   Hydromorphone hydrochloride  
注射薬
溶媒内の安定性 混合時の安定性 安定性に影響する因子 互換性 投与経路 引用文献 PDF
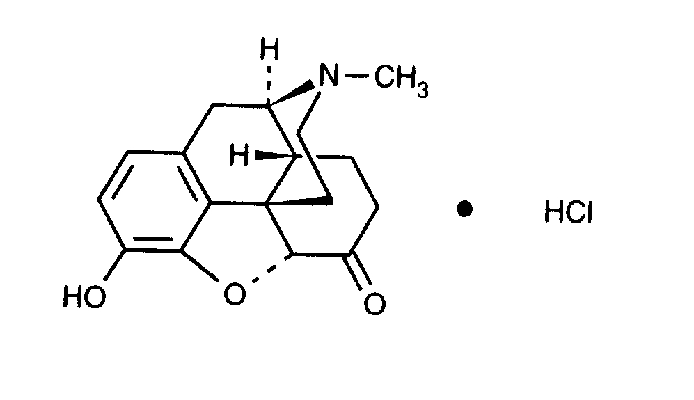
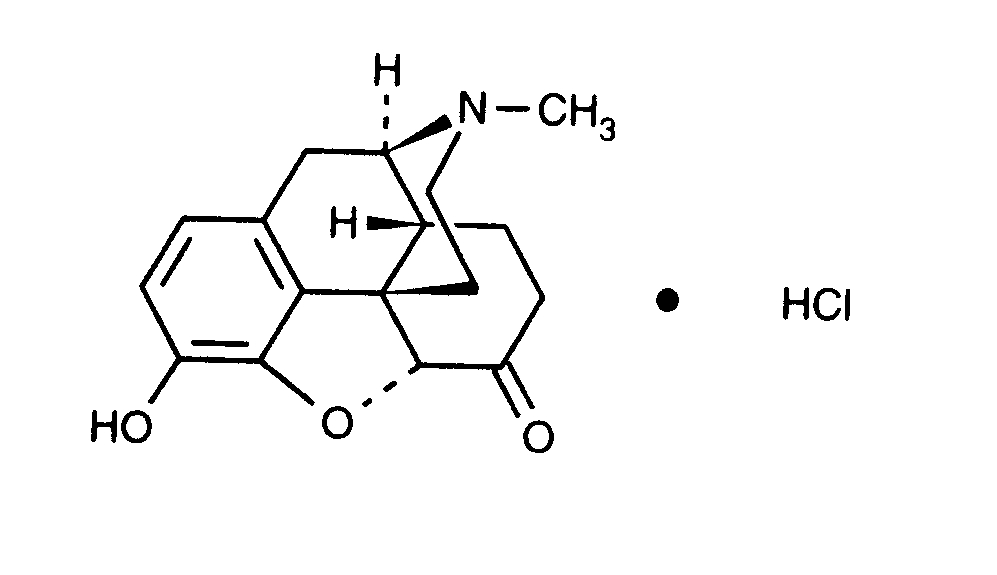
   化学構造  

商品名   商品名     

商品名、賦形剤は国、製薬会社ごとに異なることがあります

Dilaudid アメリカ, カナダ
Hydal オーストリア
Palladon スイス, デンマーク
Palladone イギリス
溶媒内の安定性   注射薬   溶媒内の安定性 : Hydromorphone hydrochloride     
容器 溶媒 濃度 温度 保管 安定期間 引用文献
ガラス 特定なし 50 mg/ml 37°C 遮光
90 日
2305

ポリ塩化ビニル(PVC) NaCl 0,9% ? mg/ml 25°C 特記なし
7 日
5073
製薬会社の安定性データ

ポリ塩化ビニル(PVC) NaCl 0,9% ? mg/ml 37°C 特記なし
7 日
5073
製薬会社の安定性データ

ポリ塩化ビニル(PVC) NaCl 0,9% ? mg/ml 4°C 特記なし
7 日
5073
製薬会社の安定性データ

ポリ塩化ビニル(PVC) NaCl 0,9% 0,2 & 10 mg/ml 23°C 特記なし
90 日
4230
エビデンスレベル A

ポリ塩化ビニル(PVC) NaCl 0,9% 1 & 5 mg/ml 23°C 特記なし
42 日
120
エビデンスレベル C

ポリ塩化ビニル(PVC) NaCl 0,9% 1 & 5 mg/ml 4°C 遮光
42 日
120
エビデンスレベル C

ポリ塩化ビニル(PVC) NaCl 0,9% 20 mg/ml 22°C 特記なし
7 日
4664
エビデンスレベル D

ポリ塩化ビニル(PVC) NaCl 0,9% 20 mg/ml 37°C 特記なし
7 日
4664
エビデンスレベル D

ポリ塩化ビニル(PVC) グルコース5% ? mg/ml 25°C 特記なし
7 日
5073
製薬会社の安定性データ

ポリ塩化ビニル(PVC) グルコース5% ? mg/ml 37°C 特記なし
7 日
5073
製薬会社の安定性データ

ポリ塩化ビニル(PVC) グルコース5% ? mg/ml 4°C 特記なし
7 日
5073
製薬会社の安定性データ

ポリ塩化ビニル(PVC) グルコース5% 1 & 5 mg/ml 23°C 特記なし
42 日
120
エビデンスレベル C

ポリ塩化ビニル(PVC) グルコース5% 1 & 5 mg/ml 4°C 遮光
42 日
120
エビデンスレベル C

ポリエチレン NaCl 0,9% ? mg/ml 25°C 特記なし
7 日
5073
製薬会社の安定性データ

ポリエチレン NaCl 0,9% ? mg/ml 37°C 特記なし
7 日
5073
製薬会社の安定性データ

ポリエチレン NaCl 0,9% ? mg/ml 4°C 特記なし
7 日
5073
製薬会社の安定性データ

ポリエチレン グルコース5% ? mg/ml 25°C 特記なし
7 日
5073
製薬会社の安定性データ

ポリエチレン グルコース5% ? mg/ml 37°C 特記なし
7 日
5073
製薬会社の安定性データ

ポリエチレン グルコース5% ? mg/ml 4°C 特記なし
7 日
5073
製薬会社の安定性データ

ポリオレフィン NaCl 0,9% 0,2 & 10 mg/ml 23°C 特記なし
90 日
4230
エビデンスレベル A

エチレン酢酸ビニル NaCl 0,9% ? mg/ml 25°C 特記なし
7 日
5073
製薬会社の安定性データ

エチレン酢酸ビニル NaCl 0,9% ? mg/ml 37°C 特記なし
7 日
5073
製薬会社の安定性データ

エチレン酢酸ビニル NaCl 0,9% ? mg/ml 4°C 特記なし
7 日
5073
製薬会社の安定性データ

エチレン酢酸ビニル グルコース5% ? mg/ml 25°C 特記なし
7 日
5073
製薬会社の安定性データ

エチレン酢酸ビニル グルコース5% ? mg/ml 37°C 特記なし
7 日
5073
製薬会社の安定性データ

エチレン酢酸ビニル グルコース5% ? mg/ml 4°C 特記なし
7 日
5073
製薬会社の安定性データ

シリンジ ポリプロピレン NaCl 0,9% ? mg/ml 25°C 特記なし
7 日
5073
製薬会社の安定性データ

シリンジ ポリプロピレン NaCl 0,9% ? mg/ml 37°C 特記なし
7 日
5073
製薬会社の安定性データ

シリンジ ポリプロピレン NaCl 0,9% ? mg/ml 4°C 特記なし
7 日
5073
製薬会社の安定性データ

シリンジ ポリプロピレン NaCl 0,9% 0,1 mg/ml 25°C 特記なし
100 日
4303
エビデンスレベル A

シリンジ ポリプロピレン NaCl 0,9% 0,1 mg/ml 30°C 特記なし
30 日
5
エビデンスレベル B

シリンジ ポリプロピレン NaCl 0,9% 1,5 & 80 mg/ml 23°C 光
60 日
1706
エビデンスレベル A+

シリンジ ポリプロピレン NaCl 0,9% 1,5 & 80 mg/ml 37°C 遮光
48 時間
1706
エビデンスレベル A+

シリンジ ポリプロピレン NaCl 0,9% 1,5 & 80 mg/ml 4°C 遮光
60 日
1706
エビデンスレベル A+

シリンジ ポリプロピレン グルコース5% ? mg/ml 25°C 特記なし
7 日
5073
製薬会社の安定性データ

シリンジ ポリプロピレン グルコース5% ? mg/ml 37°C 特記なし
7 日
5073
製薬会社の安定性データ

シリンジ ポリプロピレン グルコース5% ? mg/ml 4°C 特記なし
7 日
5073
製薬会社の安定性データ

シリンジ ポリプロピレン なし 10 mg/ml 30°C 特記なし
30 日
5
エビデンスレベル B

指定なし NaCl 0,9% 0,2 mg/ml 20°C 光/遮光
112 日
2659
エビデンスレベル A

指定なし NaCl 0,9% 0,2 mg/ml 35°C 遮光
112 日
2659
エビデンスレベル A

指定なし NaCl 0,9% 0,2 mg/ml 5°C 遮光
112 日
2659
エビデンスレベル A

指定なし なし 10 mg/ml 37°C 遮光
120 日
1867
エビデンスレベル D


  Mentions Légales