Última actualização :
27/04/2026
Antálgico   Hydromorphone hydrochloride  
injetável
Estabilidade em soluções simples Estabilidade em misturas Factores que afectam a sua estabilidade Compatibilidade Método de administração Bibliografía pdf
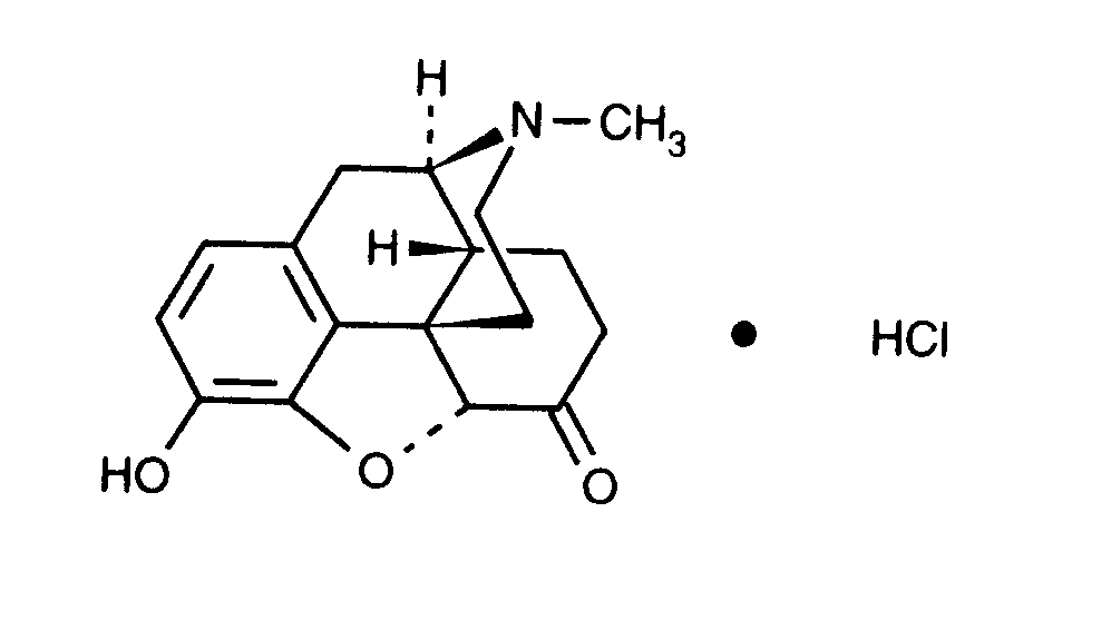
   estrutura química  

Nomes comerciais nos diversos países   Nomes comerciais nos diversos países     

OS NOMES COMERCIAIS SÃO INDICATIVOS E OS EXCIPIENTES DA FORMULAÇÃO PODEM SER DIFERENTES CONFORME O PAÍS E FABRICANTE.

Dilaudid Canadá, Estados Unidos de América
Hydal Austria
Palladon Dinamarca, Suicia
Palladone Gran-bretanha
Estabilidade em soluções simples   injetável   Estabilidade em soluções simples : Hydromorphone hydrochloride     
Embalagem Solvente concentração temperatura conservação Duração da estabilidade Bibliografia
vidro no especificado 50 mg/ml 37°C ao abrigo da luz
90 dia
2305

Cloreto de polivinilo cloreto de sódio 0,9% ? mg/ml 25°C no especificado
7 dia
5073
Dados estabilidade do fabricante

Cloreto de polivinilo cloreto de sódio 0,9% ? mg/ml 37°C no especificado
7 dia
5073
Dados estabilidade do fabricante

Cloreto de polivinilo cloreto de sódio 0,9% ? mg/ml 4°C no especificado
7 dia
5073
Dados estabilidade do fabricante

Cloreto de polivinilo cloreto de sódio 0,9% 0,2 & 10 mg/ml 23°C no especificado
90 dia
4230
Nível de evidência A

Cloreto de polivinilo cloreto de sódio 0,9% 1 & 5 mg/ml 23°C no especificado
42 dia
120
Nível de evidência C

Cloreto de polivinilo cloreto de sódio 0,9% 1 & 5 mg/ml 4°C ao abrigo da luz
42 dia
120
Nível de evidência C

Cloreto de polivinilo cloreto de sódio 0,9% 20 mg/ml 22°C no especificado
7 dia
4664
Nível de evidência D

Cloreto de polivinilo cloreto de sódio 0,9% 20 mg/ml 37°C no especificado
7 dia
4664
Nível de evidência D

Cloreto de polivinilo Glucose 5% ? mg/ml 25°C no especificado
7 dia
5073
Dados estabilidade do fabricante

Cloreto de polivinilo Glucose 5% ? mg/ml 37°C no especificado
7 dia
5073
Dados estabilidade do fabricante

Cloreto de polivinilo Glucose 5% ? mg/ml 4°C no especificado
7 dia
5073
Dados estabilidade do fabricante

Cloreto de polivinilo Glucose 5% 1 & 5 mg/ml 23°C no especificado
42 dia
120
Nível de evidência C

Cloreto de polivinilo Glucose 5% 1 & 5 mg/ml 4°C ao abrigo da luz
42 dia
120
Nível de evidência C

Polietileno cloreto de sódio 0,9% ? mg/ml 25°C no especificado
7 dia
5073
Dados estabilidade do fabricante

Polietileno cloreto de sódio 0,9% ? mg/ml 37°C no especificado
7 dia
5073
Dados estabilidade do fabricante

Polietileno cloreto de sódio 0,9% ? mg/ml 4°C no especificado
7 dia
5073
Dados estabilidade do fabricante

Polietileno Glucose 5% ? mg/ml 25°C no especificado
7 dia
5073
Dados estabilidade do fabricante

Polietileno Glucose 5% ? mg/ml 37°C no especificado
7 dia
5073
Dados estabilidade do fabricante

Polietileno Glucose 5% ? mg/ml 4°C no especificado
7 dia
5073
Dados estabilidade do fabricante

Poliolefina cloreto de sódio 0,9% 0,2 & 10 mg/ml 23°C no especificado
90 dia
4230
Nível de evidência A

Etil-vinil-acetato cloreto de sódio 0,9% ? mg/ml 25°C no especificado
7 dia
5073
Dados estabilidade do fabricante

Etil-vinil-acetato cloreto de sódio 0,9% ? mg/ml 37°C no especificado
7 dia
5073
Dados estabilidade do fabricante

Etil-vinil-acetato cloreto de sódio 0,9% ? mg/ml 4°C no especificado
7 dia
5073
Dados estabilidade do fabricante

Etil-vinil-acetato Glucose 5% ? mg/ml 25°C no especificado
7 dia
5073
Dados estabilidade do fabricante

Etil-vinil-acetato Glucose 5% ? mg/ml 37°C no especificado
7 dia
5073
Dados estabilidade do fabricante

Etil-vinil-acetato Glucose 5% ? mg/ml 4°C no especificado
7 dia
5073
Dados estabilidade do fabricante

seringa polipropylen cloreto de sódio 0,9% ? mg/ml 25°C no especificado
7 dia
5073
Dados estabilidade do fabricante

seringa polipropylen cloreto de sódio 0,9% ? mg/ml 37°C no especificado
7 dia
5073
Dados estabilidade do fabricante

seringa polipropylen cloreto de sódio 0,9% ? mg/ml 4°C no especificado
7 dia
5073
Dados estabilidade do fabricante

seringa polipropylen cloreto de sódio 0,9% 0,1 mg/ml 25°C no especificado
100 dia
4303
Nível de evidência A

seringa polipropylen cloreto de sódio 0,9% 0,1 mg/ml 30°C no especificado
30 dia
5
Nível de evidência B

seringa polipropylen cloreto de sódio 0,9% 1,5 & 80 mg/ml 23°C luz
60 dia
1706
Nível de evidência A+

seringa polipropylen cloreto de sódio 0,9% 1,5 & 80 mg/ml 37°C ao abrigo da luz
48 hora
1706
Nível de evidência A+

seringa polipropylen cloreto de sódio 0,9% 1,5 & 80 mg/ml 4°C ao abrigo da luz
60 dia
1706
Nível de evidência A+

seringa polipropylen Glucose 5% ? mg/ml 25°C no especificado
7 dia
5073
Dados estabilidade do fabricante

seringa polipropylen Glucose 5% ? mg/ml 37°C no especificado
7 dia
5073
Dados estabilidade do fabricante

seringa polipropylen Glucose 5% ? mg/ml 4°C no especificado
7 dia
5073
Dados estabilidade do fabricante

seringa polipropylen nenhum 10 mg/ml 30°C no especificado
30 dia
5
Nível de evidência B

no especificado cloreto de sódio 0,9% 0,2 mg/ml 20°C Com ou sem luz
112 dia
2659
Nível de evidência A

no especificado cloreto de sódio 0,9% 0,2 mg/ml 35°C ao abrigo da luz
112 dia
2659
Nível de evidência A

no especificado cloreto de sódio 0,9% 0,2 mg/ml 5°C ao abrigo da luz
112 dia
2659
Nível de evidência A

no especificado nenhum 10 mg/ml 37°C ao abrigo da luz
120 dia
1867
Nível de evidência D


  Mentions Légales